Belediyeden büyük fırsat: Taksitle 19 imarlı arsa satacak! Sakın kaçırmayın!
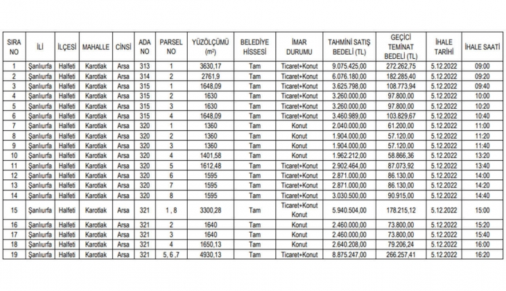
Şanlıurfa İli Halfeti Belediye Başkanlığı, Şanlıurfa Halfeti'de yer alan 19 adet arsayı satışa çıkardı. Arsaların satış ihalesi 5 Aralık 2022 tarihinde gerçekleştirilecek.
TAŞINMAZLAR SATILACAKTIR
Şanlıurfa İli Halfeti Belediye Başkanlığından:

1- Yukarıda özellikleri yazılı olan 19 (On Dokuz) adet taşınmaz malın satış ihalesi 2886 sayılı Devlet İhale Kanununun 45 inci maddesi uyarınca
açık teklif usulüyle hizalarında gösterilen gün ve saatte Halfeti Belediyesi Toplantı Salonu odasında teşekkül edecek Komisyon huzurunda yapılacaktır.
2- İhalelere ilişkin şartname mesai saatleri içinde Halfeti Belediyesi İmar ve Şehircilik Müdürlüğü'nden temin edilebilir.
3- İhaleye katılacakların;
a) Yasal yerleşim yeri sahibi olmaları,
b) Tebligat için Türkiye'de adres göstermeleri,
c) Gerçek kişilerin T.C. Kimlik numarasını, tüzel kişilerin ise Vergi Kimlik Numarasını bildirmeleri,
ç) Geçici teminatı yatırmış olmaları (2886 sayılı Devlet İhale Kanununda belirtilen örneğine uygun olarak verilecek Mevduat ve Katılım
Bankalarının verecekleri süresiz teminat mektupları, Tedavüldeki Türk Parası ve Hazine Müsteşarlığınca İhraç Edilen Devlet İç Borçlanma Senetleri veya bu
senetler yerine düzenlenen belgeleri), 4734 sayılı Kanun Hükümlerine göre düzenlenen Geçici Teminat Mektupları kabul edilmeyecektir.
d) Özel hukuk tüzel kişilerinin, yukarıda belirtilen şartlardan ayrı olarak, idare merkezlerinin bulunduğu yer mahkemesinden veya siciline kayıtlı
bulunduğu ticaret veya sanayi odasından yahut benzeri meslekî kuruluştan, ihalenin yapıldığı yıl içinde alınmış sicil kayıt belgesi ile tüzel kişilik adına
ihaleye katılacak veya teklifte bulunacak kişilerin tüzel kişiliği temsile tam yetkili olduklarını gösterir noterlikçe tasdik edilmiş imza sirkülerini veya
vekâletnameyi vermeleri; kamu tüzel kişilerinin ise, yukarıdaki (b), (ç) ve (d) bentlerinde belirtilen şartlardan ayrı olarak tüzel kişilik adına ihaleye katılacak
veya teklifte bulunacak kişilerin tüzel kişiliği temsile yetkili olduğunu belirtir belgeyi vermeleri şarttır.
4- Satışı yapılacak olan taşınmazların ihale bedelleri sözleşme öncesi yarısı peşin; kalan yarısı sözleşme tarihinden itibaren 1'er ay ara ile 2 eşit taksit
halinde tahsil edilecektir.
5- Posta ile yapılacak müracaatlarda teklifin 2886 sayılı Devlet İhale Kanununun 37 nci maddesine uygun hazırlanması ve ihale saatinden önce
Komisyona ulaşması şarttır. (Postada meydana gelebilecek gecikmelerden dolayı, İdare ya da Komisyon herhangi bir suretle sorumlu değildir.)
6- Komisyon ihaleyi yapıp yapmamakta serbesttir.
İLAN OLUNUR. 14338/1/1-1
Ev, iş yeri ve arsa alacaklar dikkat! Takibe düşmemek için bunları sakın gözden kaçırmayın!
Milli Emlak'tan büyük fırsat! O ilde 54 bin bin TL'ye KDV'den muaf arsa satıyor!