Ankara Büyükşehir'den 353.3 milyon TL'ye satılık 41 arsa!
Ankara Büyükşehir Belediyesi, 8 ilçedeki 41 arsasını ihale usulü ile satıyor. İhale 2 Kasım 2017 tarihinde yapılacak..
Ankara Büyükşehir Belediye Başkanlığı tarafından Altındağ, Mamak, Pursaklar, Keçiören, Yenimahalle, Etimesgut, Çankaya, Mamak ilçelerindeki 41 arsa ihale usulü ile satışa sunuluyor.
Toplam muhammen bedeli 353 milyon 350 bin TL olarak belirnen arsalar için ihale 2 Kasım 2017 tarihinde gerçekleşcek. İhale, Hipodrom Caddesi No: 5’deki Belediye Hizmet binasının 18. katında bulunan Encümen salonunda toplanacak Belediye Encümenince yapılacak.
TAŞINMAZ MALLAR SATILACAKTIR
Ankara Büyükşehir Belediye Başkanlığından:
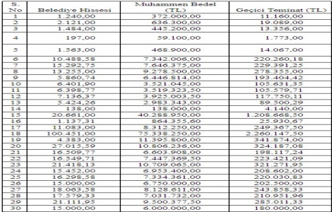
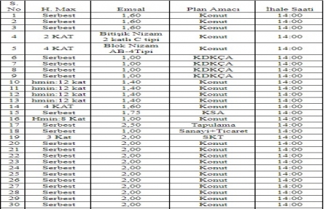
Mülkiyeti Belediyemize aşağıdaki listede ilçesi, mahallesi, ada/parsel numarası, muhammen bedeli, geçici teminatı yazılı taşınmazlar 2886 Sayılı Kanunun 36. Maddesi gereğince, Kapalı Zarf usulü ile satış bedeli, ihale karar pulu, ilan giderleri, sözleşme karar pulu ve diğer giderleri peşin, ödenmesi şartıyla mülkiyet satışı yapılacaktır.
1 - İhale 02.11.2017 tarihinde Hipodrom Caddesi No: 5’deki Belediye Hizmet binasının 18. katında bulunan ENCÜMEN salonunda toplanacak Belediye ENCÜMENİ'nce yapılacaktır.
2 - İhale suretiyle satışı yapılacak taşınmazın satış şartnamesi, her gün çalışma saatleri içerisinde, Hipodrom Caddesi No: 5 Belediyemiz hizmet binası 14.katında bulunan EMLAK ve İSTİMLAK DAİRESİ BAŞKANLIĞI Taşınmazlar Şube Müdürlüğünde görülebilir.
3 - İstekliler, Şartnamenin 2. Maddesinde yazılı “İhaleye girebilmek için isteklilerde aranan şartları” sağlamak zorundadır. Şartnameye uygun olmayan veya içinde şartname hükümleri dışında şartlar ihtiva eden teklifler geçersiz sayılacaktır. Buna göre isteklilerde aranacak bilgi ve belgeler;
- Kimlik ve Yetki Belgeleri, - Yer Görme Belgesi,
- İkametgah Belgesi, - Teklif Mektubu,
- Şartname Alındı Makbuzu, - Taşınmaz Mal Satış Şartnamesi,
- Teminat Alındı Makbuzu veya 2886 sayılı Kanuna uygun Banka Teminat Mektubu,
4 - İhaleye iştirak edecek olanlar 500 TL karşılığında şartname almak zorundadırlar.
5 - İhale için verilen teklif mektupları verildikten sonra geri alınamaz.
6 - İhale için verilecek teklif mektubunda belirtilecek meblağ rakam ve yazı ile okunaklı bir şekilde (Silinti, kazıntı olmayacak) yazılacaktır.
7 - Teklif mektuplarının en geç ihale günü saat 12:00’ye kadar ihalenin yapılacağı adreste bulunan ENCÜMEN Başkanlığına (7. katta bulunan Yazı işleri ve Kararlar Dairesi Başkanlığına) verilmesi şarttır. Bu saatten sonra verilecek teklif mektupları veya her hangi bir nedenle oluşacak gecikmeler dikkate alınmaz.
8 - Satış şartnamesinde belirtilen hususlarla taşınmaza ait dosyasındaki bilgileri ve tapudaki takyidatları alıcı aynen kabul etmiş sayılır. İhalenin kesinleşmesinden sonra ihale uhdesinde kalanlar, satış şartnamesine aykırı bir talepte bulunamazlar.
9 - Satıştan mütevellit bütün vergi, resmi harç, ilan giderleri, tapu harçları, alım satım giderleri gibi ödenmesi gereken her türlü giderler alıcıya ait olup, alıcı tarafından kanuni süresinde ödenecektir.
10 - İhale Komisyonu (ENCÜMEN) gerekçesini karar içeriğinde belirtmek koşulu ile ihaleyi yapıp yapmamakta serbesttir. ENCÜMEN’ce uygun görülerek karara bağlanan ihale kararı ise; İta Amiri’nin ONAY’ını takiben geçerlilik kazanacağı gibi, İta Amiri’nin ihaleyi onaylamaması halinde, iştirakçi idareye karşı herhangi bir hak iddiasında bulunamaz.
11 - İş bu ihale ilanı genel bilgi mahiyetinde olup, satışta ihale şartnamesi hükümleri uygulanacaktır.





