Ankara Büyükşehir’den büyük fırsat: 20 konut, 5 mağaza ve 4 arsa satıyor!
Ankara Büyükşehir Belediye Başkanlığı, Mamak, Çankaya, Gölbaşı ve Etimesgut’ta yer alan 20 konut, 5 mağaza ile 4 arsayı satışa çıkardı.
Ankara Büyükşehir Belediye Başkanlığı, Mamak, Çankaya, Gölbaşı ve Etimesgut’ta yer alan 20 konut, 5 mağaza ile 4 arsa için satış ihalesi düzenliyor.
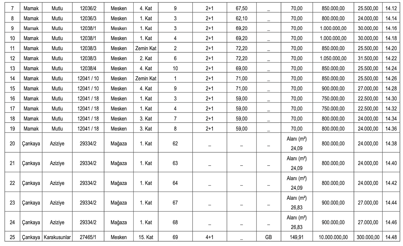
Satışa çıkarılan konutların yüz ölçümleri 70 metrekare ile 149,91 metrekare arasında değişiyor. Söz konusu konutlar için en düşük muhammen bedel 800 bin TL, en yüksek muhammen bedel ise 10 milyon TL olarak açıklanırken, geçici teminat bedellerin ise 24 bin TL ile 300 bin TL arasında değiştiği belirtildi.
Çankaya’da yer alan mağazaların alanları 24,09 metrekare ile 26,83 metrekare arasında değişirken mağazalar için en düşük muhammen bedel 800 bin TL, en yüksek muhammen bedel ise 900 bin TL olarak açıklandı. Mağazaların geçici teminat bedelleri ise 24 bin TL ile 27 bin TL arasında değişiyor.
Gölbaşı, Çankaya ve Etimesgut’ta yer alan arsalar ise 850 metrekare ile 12 bin 503 metrekare arasında değişen alanlara sahip.
Arsalar için en düşük muhammen bedel 2 milyon 125 bin TL, en yüksek muhammen bedel 62 milyon 515 bin TL olarak açıklanırken, en düşük geçici teminat bedeli 63 bin 750 TL, en yüksek geçici teminat bedeli ise 2 milyon 150 bin 700 TL olarak açıklandı.
Söz konusu gayrimenkullerin satış ihalesi 26 Eylül 2024 tarihinde saat 14.00 ve 14.56 arasında gerçekleştirilecek.

TAŞINMAZLAR SATILACAKTIR
Ankara Büyükşehir Belediye Başkanlığından:
Mülkiyeti Maliye Hazinesine ait satış yetkisi Belediyemize verilen ve Mülkiyeti Belediyemize ait aşağıdaki listede ilçesi, mahallesi, ada/parsel ve
bağımsız bölüm numarası, kıymet takdir bedeli (muhammen bedeli), geçici teminatı yazılı taşınmazlar, 2886 sayılı Devlet İhale Kanunu’nun 36. maddesi
gereğince kapalı teklif usulü ile satış bedeli, ihale karar pulu, sözleşme karar pulu, ilan giderleri ve diğer giderleri peşin ödenmesi şartıyla peşin perakende
(tek tek / ayrı ayrı) mülkiyet satışı yapılacaktır.
1-İhale 26.09.2024 tarihinde Hipodrom Caddesi No:5’deki Belediye Hizmet binasının B-Blok 1. katında bulunan ENCÜMEN salonunda toplanacak
Belediye ENCÜMENİ'nce yapılacaktır.
2-İhale suretiyle satışı yapılacak taşınmazın satış şartnamesi, en geç 25.09.2024 tarih ve saat 16.00’ya kadar Hipodrom Caddesi No: 5’deki Belediye
Hizmet binasının 14.katında bulunan EMLAK ve İSTİMLAK DAİRESİ BAŞKANLIĞI Gayrimenkul Değerleme ve İhale Şube Müdürlüğünde görülebilir
ve alınabilir.
3-İstekliler, Şartnamenin 2.Maddesinde yazılı ‘‘İhaleye girebilmek için isteklilerde aranan şartları’’sağlamak zorundadır. Şartnameye uygun olmayan
veya içinde şartname hükümleri dışında şartlar ihtiva eden teklifler geçersiz sayılacaktır. Buna göre isteklilerde aranacak bilgi ve belgeler;
a-İmzalı Teklif Mektubu,
b-İmzalı Taşınmaz Mal Satış Şartnamesi( Aslı ), Şartname Alındı Makbuzu( Aslı )
c-İhalelere katılmaya yasaklı olunmadığına dair belge
d-İmzalı Yer Görme Belgesi (İdare tarafından mühürlü verilecektir.)
e-Geçici Teminat Alındı Makbuzu Aslı veya 2886 sayılı Kanuna uygun Banka Teminat Mektubu (Geçici, Süresiz, Limit içi olması gerekir) veya
2886 sayılı Kanununun 26. maddesinde geçen değerler,
f- İsteklilerin gerçek kişi olmaları halinde; nüfus kayıt örneği veya kimlik fotokopisi, ikametgah belgesi ( Aslı ), istekliyi şahıs temsil etmesi halinde
“vekil” olduğunu gösterir noter tasdikli vekaletname, kimlik belgesi,
g-İsteklilerin tüzel kişi olmaları halinde; İdare Merkezinin bulunduğu yer Mahkemesinden veya sicilin kayıtlı olduğu Ticaret Odasından alınan
faaliyet belgesi, ticaret sicil gazetesi, şirket yetkilisi imza sirküsü veya şirketin “vekili” olduğunu gösterir noter tasdikli vekaletname, vekalet ile temsil
yetkisi alan temsilcinin noterden tasdikli imza beyannamesi, kimlik belgesi,
h-İsteklilerin dernek, federasyon, konfederasyon, kooperatif veya vakıf olması halinde; resmi makamdan alınmış faaliyet belgesi, gayrimenkul
alınması hususunda alınan noter onaylı Genel Kurul kararı, noter tasdikli temsilci yetkisi, temsilcinin noter tasdikli imza beyannamesi, kimlik belgesi,
4-İhaleye iştirak edecek olanlar 1.500,00.-TL + K.D.V. (Bin Beş Yüz Türk Lirası + K.D.V.) karşılığında şartname almak zorundadırlar.
5-İhale için verilen teklif mektupları verildikten sonra geri alınamaz.
6-İhale için verilecek teklif mektubunda belirtilecek meblağ rakam ve yazı ile okunaklı bir şekilde (Silinti, kazıntı olmayacak) yazılacaktır.
7-Teklif mektuplarının en geç ihale günü saat 12.00’ye kadar ihalenin yapılacağı adreste bulunan ENCÜMEN Başkanlığına (7.Katta bulunan Yazı
işleri ve Kararlar Dairesi Başkanlığına) verilmesi şarttır. Bu saatten sonra verilecek teklif mektupları veya her hangi bir nedenle oluşacak gecikmeler dikkate
alınmaz.
8-Satış şartnamesinde belirtilen hususlarla taşınmaza ait dosyasındaki bilgileri ve tapudaki takyidatları alıcı aynen kabul etmiş sayılır. İhalenin
kesinleşmesinden sonra ihale uhdesinde kalanlar, satış şartnamesine aykırı bir talepte bulunamazlar.
9-Satıştan mütevellit bütün vergi, resmi harç, ilan giderleri, tapu harçları, alım satım giderleri gibi ödenmesi gereken her türlü giderler alıcıya ait
olup, alıcı tarafından kanuni süresinde ödenecektir.
10-İhale Komisyonu (ENCÜMEN) gerekçesini karar içeriğinde belirtmek koşulu ile ihaleyi yapıp yapmamakta serbesttir. ENCÜMEN’ce uygun
görülerek karara bağlanan ihale kararı ise; İta Amiri’nin Onay’ını takiben geçerlilik kazanacağı gibi, İta Amiri’nin ihaleyi onaylamaması halinde, iştirakçi
idareye karşı herhangi bir hak iddiasında bulunamaz.
11-İş bu ihale ilanı genel bilgi mahiyetinde olup, satışta ihale şartnamesi hükümleri uygulanacaktır.
TAŞINMAZ SATIŞ İLANI LİSTESİ



İslam Memiş’ten gram altın için 18 Eylül 2024 uyarısı geldi!