Ankara'da satılık 42 gayrimenkul! İhalesi 26 Aralık'ta!
Ulus Emlak Müdürlüğü tarafından Ankara Pursaklar, Mamak, Keçiören, ilçelerinde bulunan 42 adet taşınmazın satış ihalesi 26 Aralık'ta yapılacak...
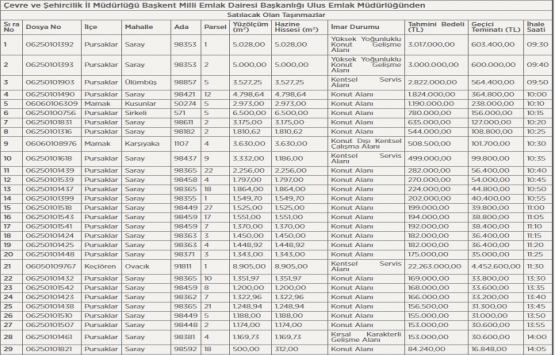
Çevre ve Şehircilik İl Müdürlüğü Başkent Milli Emlak Dairesi Başkanlığı Ulus Emlak Müdürlüğü, Ankara'daki 42 adet gayrimenkulün satış ve 3 adet gayrimenkulün ise kiralama ihalesini gerçekleştirecek.
42 adet gayrimenkul Ankara Pursaklar, Mamak, Keçiören ilçelerinde bulunuyor. Söz konusu satış ihalesi 26 Aralık 2018 tarihinde Çankaya'da yapılacak.
Ankara Mamak ilçesine bağlı Kutludüğün, Bayındır ve Kıbrıs mahallerindeki taşınmazların kiralama ihalesi ise aynı yerde ve ilan metninde belirtilen saatlerde gerçekleştirilecek.
Taşınmazlara ait şartnameler mesai saatleri içerisinde Ulus Emlak Müdürlüğü İhale servisinde görülebilir. Posta yolu ile verilecek tekliflerde gecikmeler kabul edilmeyecek.

