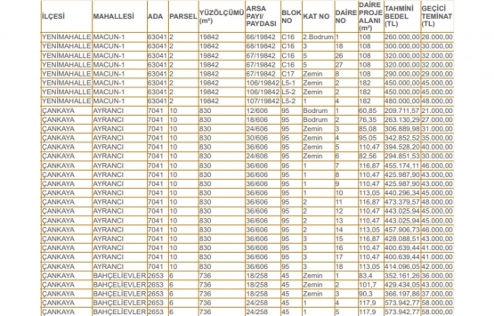
Ankara'daki 92 kamu konutu satışa çıktı!
Başkent Milli Emlak Dairesi Başkanlığı, Ankara ili Yenimahalle ve Çankaya ilçelerinde yer alan 92 kamu konutunu satıyor.
Başkent Milli Emlak Dairesi Başkanlığı tarafından, Ankara ili Yenimahalle ve Çankaya ilçelerinde yer alan 92 kamu konutu satışa çıkarıldı. Gayrimenkullerin satış ihalesi 18 Ocak tarihinde saat 8:50'de gerçekleştirilecek.
İlan metni:
ANKARA ÇEVRE, ŞEHİRCİLİK VE İKLİM DEĞİŞİKLİĞİ İL MÜDÜRLÜĞÜ - BAŞKENT MİLLİ EMLAK DAİRESİ BAŞKANLIĞI
HİSAR EMLAK MÜDÜRLÜĞÜ TARAFINDAN SATIŞ İHALESİ YAPILACAK TAŞINMAZLAR (KAMU KONUTU)



Ankara İli, Yenimahalle ve Çankaya İlçelerinde bulunan ve yukarıda nitelikleri belirtilen taşınmazlar (kamu konutları); karşılarında belirtilen tarih ve saatinde; Hisar Emlak Müdürlüğünce: Çevre ve Şehircilik İl Müdürlüğü Ek Hizmet Binası İzmir 1 Caddesi No:35 Kızılay/Çankaya/ANKARA adresinde oluşturulacak Komisyonlar huzurunda, 2886 sayılı Kanunun 45.maddesi uyarınca açık teklif usulü ile sırasıyla ayrı ayrı ihale ile satışı yapılacaktır.
1-İhaleye katılacak isteklilerin ;
a) Geçici Teminat Bedelinin Ankara Defterdarlığı Muhasebe Müdürlüğüne, Saymanlıklara veya Malmüdürlüklerine yatırıldığına dair makbuz veya banka teminat mektubu (Banka Teminat Mektubunun verilmesi halinde "Teminat Mektubunun Geçici, Süresiz, Limit içi olması ve Teyit yazısı'nın da ibrazı gerekir). (Bankalardan havale yada eft vb. makbuz yada dekontları geçici teminat olarak kabul edilmeyecektir.)
b) Gerçek kişilerin ; Yasal yerleşim yeri belgesini (İkametgah ilmuhaberi) ile Nüfus kayıt örneği veya arkalı-önlü T.C. Kimlik Kartı fotokopisinin,
c) Tüzel kişilerin ; İdare merkezlerinin bulunduğu yer mahkemesinden veya siciline kayıtlı bulunduğu ticaret veya sanayi odasından yahut benzeri mesleki kuruluştan, ihalenin yapıldığı yıl içinde alınmış sicil kayıt belgesi ile tüzel kişilik adına ihaleye katılacak veya teklifte bulunacak kişilerin temsile tam yetkili olduklarını gösterir noterlikce tastik edilmiş yetki belgesi ve imza sirkülerinin veya Vekaletname verilmesi halinde belge aslının veya noterlikçe tasdik edilmiş örneğinin,
d) Kamu Tüzel Kişilerinin ise belirtilen şartlardan ayrı olarak tüzel kişilik adına ihaleye katılacak veya teklifte bulunacak kişiliği temsile yetkili olduğunu belirtir belgenin, İhale saatine kadar Komisyon Başkanlığına verilmesi gerekmektedir.
2- Mülkiyeti Orman Genel Müdürlüğüne (1 ila 8 inci sıra) , Türkiye Kömür İşletmeleri Genel Müdürlüğü Kurumuna (9 ila 91 inci sıra) ve Sosyal Güvenlik Kurumuna (92 inci sıra) ait lojmanların ihale bedeli üzerinden; ayrıca yürürlükteki Katma Değer Vergisi Kanunu dikkate alınarak KDV, Damga Vergisi, Karar Pulu, tapu işlemleri için vergi, resim ve harç benzeri yükümlülükler vardır. İlgili Kurumun KDV muafiyetinin bulunması halinde KDV alınmayacaktır.
3- 4706 sayılı Kanunun 4. Maddesinin (Ek fıkra: 28/11/2017-7061/58 md.) fıkrası gereği ihale tarihine kadar kurumlarınca bildirilenler yasa gereği ön alım hakkı sahibi sayılacaktır.
4- (1) Kat mülkiyeti veya kat irtifakı kurulan kamu konutlarından ihalenin yapıldığı tarihte; adlarına görev, sıra ve hizmet tahsisli kamu konutu tahsis edilen (şartlı tahsisler dahil) ve fiilen konutta oturanlar öncelikli alım hakkına sahiptir.
(2) Öncelikli alım hakkı sahibinin kamu konutunu satın almak istemediğini bildirmesi, süresi içerisinde herhangi bir bildirimde bulunmaması ya da yükümlülüklerini yerine getirmemesi halinde, en yüksek teklifi veren istekli tarafından satış bedeli peşin veya Kanunun 5 inci maddesinin birinci fıkrasında belirtilen şekilde en az dörtte biri peşin, kalanı en fazla iki yılda ve taksitlerle kanunî faizi ile birlikte ödenebilir.
(3) Öncelikli alım hakkı sahibinin; kamu konutunu satın almak istemesi ve süresi içerisinde satış bedelini peşin olarak ödemesi veya peşinatı ödeyerek Taksitli Satış Sözleşmesini imzalaması halinde bu durum İhalede en yüksek teklifi veren isteklisine bildirilir.
(4) Bedelin yetkili kredi kuruluşlarından kredi temin edilerek ödenmek istenilmesi halinde, alıcı tarafından kredi kuruluşu ile yapılan kredi sözleşmesi veya kredi açıldığına dair kredi kuruluşunun resmî yazısı verilir ve kredi kuruluşu tarafından bedel ilgili muhasebe biriminde açılacak emanet hesabına aktarılması halinde İdarece, tapu müdürlüklerine kredi kuruluşu lehine ipotek tesis edilmesi ve alıcı adına tescil işleminin yapılması hususu yazıyla bildirilir.

5- İhale Şartnameleri mesai saatleri içerisinde Hisar Emlak Müdürlüğü ilgili servisinde görülebilir.
6- Posta yolu ile verilecek tekliflerde gecikmeler kabul edilmeyecektir.
7- İhaleye iştirak edecek isteklilerin ihale salonu ile İdare binasının içinde ve çevresinde Covid-19 tedbirleri gereğince maske kullanmaları, sosyal mesafe kurallarına uymaları ve HES kapsamında riskli olmaması gerekmektedir,
8- Komisyon İhaleyi yapıp yapmamakta serbesttir.
Ayrıca ; "Bu ihaleye ilişkin bilgiler ankara.csb.gov.tr adresinden öğrenilebileceği gibi, Türkiye genelindeki ihale bilgileri www.milliemlak.gov.tr adresinden öğrenilebilinir." Adres: Kızılay Mahalesi, İzmir 1 Cad. No: 35 ÇANKAYA/ ANKARA Tel: 0 (312) 417 71 71 (4 Hat) ve (Dahili 1708-1720)