Bursa’da imarlı 24 arsa satılacak! Arsaların fiyatları belli oldu!
Bursa ili, Mustafakemalpaşa ilçesinde yer alan tam 24 adet arsa satışa çıkarıldı. Arsaların depolama alanı olarak kullanıldığı ve 24 Kasım’da kapalı teklif usulüyle satılacağı öğrenildi.
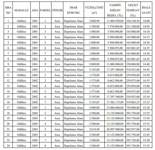
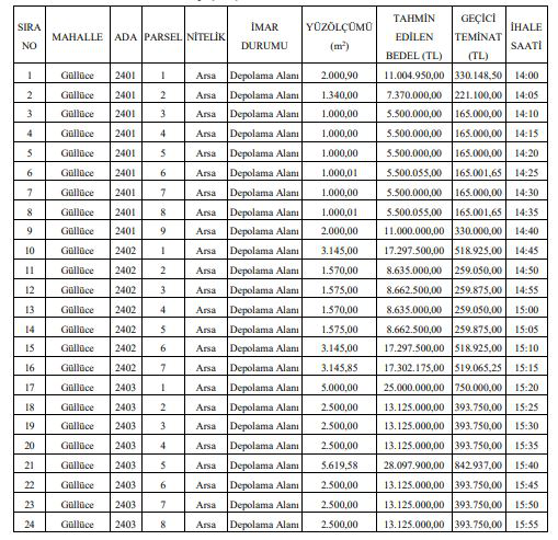
Bursa Mustafakemalpaşa Belediye Başkanlığı, tamamı Güllüce Mahallesi’nde yer alan toplam 24 adet arsayı satacağını duyurdu. 24 Kasım 2023 Cuma günü saat 14.00-15.55 arasında kapalı teklif usulüyle satılacak arsaların geçici teminat ve muhammen bedelleri belli oldu.
Söz konusu arsaların büyüklüğünün bin metrekare ile 5 bin metrekare, ada numaralarının 2 bin 401 ile 2 bin 403 ve parsel numaralarının ise 1 ile 8 arasında değiştiği açıklandı. Bahsi geçen arsaların satışı Atariye Mahallesi Sırma Caddesi No:35/1 Gençlik ve Spor Merkezi adresindeki toplantı salonunda ve ihale komisyonu tarafından gerçekleştirilecek.
İhaleye katılacak gerçek ve tüzel kişilerin ihale şartnamesini 5 bin TL karşılığında Mustafakemalpaşa Belediyesi Emlak ve İstimlâk Müdürlüğü’nden temin edebilecekleri açıklandı.

İLAN DETAYLARI
Arsaların geçici teminat bedellerinin 165 bin TL ile 500 bin TL ve muhammen bedellerinin ise 5 milyon 500 bin TL ile 28 milyon 97 bin 900 TL arasında değiştiği duyuruldu.

Mülkiyeti Belediyemize ait yukarıda niteliği belirtilen taşınmazlar 2886 sayılı Devlet İhale Kanunu’nun 36. maddesi uyarınca Kapalı Teklif Usulü ihale ile satılacaktır.
Bu husustaki ihale, tabloda belirtilen taşınmazların satışı 24/11/2023 Cuma günü saat 14:00’dan itibaren Atariye Mahallesi Sırma Caddesi No:35/1 Gençlik ve Spor Merkezi adresindeki Toplantı Salonunda, İhale Komisyonunca (Belediye Encümenince) yapılacaktır.
İhaleye iştirak edecek gerçek ve tüzel kişiler ihale şartnamesini 5.000,00 TL (Beşbinlira) karşılığında Belediyemiz Emlak ve İstimlâk Müdürlüğü’nden temin edebilirler. (Şartname başvuru öncesi idarede ücretsiz görülebilir) 2886 sayılı Devlet İhale Kanunun 6. maddesine göre ihaleye katılamayacak olanlar şartnamede belirtilmiştir.
Yukarıda belirtilen satışı yapılacak taşınmazlara ait %3 Geçici teminatı Belediyemiz Veznesine nakit olarak veya süresiz teminat mektubu olarak verilebilir.
Satışı yapılacak depolama alanı planlı taşınmazlarda süreli yatırım gerçekleştirme şartları bulunmaktadır. Detaylı bilgi şartnamede belirtilmiştir.

İhaleye iştirak edeceklerin, istenilen belgelerle birlikte Emlak ve İstimlâk Müdürlüğüne en geç 24/11/2023 Cuma günü saat 12:00’a kadar başvuruda bulunmaları ve dosyaları teslim etmeleri gerekmektedir. Belirtilen gün ve saatten sonra yapılan başvurular kesinlikle kabul edilmeyecektir. Postayla yapılacak başvurular kabul edilmeyecektir.
Belediyemizce yapılacak olan ihalelere katılacak olan gerçek ve tüzel kişilerde aşağıdaki şartlar aranır. A) İstekli gerçek kişi ise; a- İhaleye İştirak dilekçesi, b- Nüfus Cüzdanı Fotokopisi, c- İkametgah Belgesi, d- Geçici Teminat bedelinin yatırıldığına dair makbuz veya süresiz teminat mektubu, e- Belediyeye borcu olmadığına dair belge, f- Şartname bedelinin yatırıldığına dair makbuz.(5.000,00TL) g- Vekalet ile ihaleye gireceklerden son bir (1) yıl içerisinde alınmış Noter tasdikli vekaletname, h- 2886 sayılı Kanunun 37.maddesine göre hazırlanmış, a- Dış Zarf (Bu zarf geçici teminata ait alındı veya banka teminat mektubu ve istenilen diğer belgelerle Dış zarfın üzerine isteklinin adı ve soyadı ile açık adresi ve teklifin hangi işe ait olduğu yazılır.) b- İç Zarf (Teklif mektubu, bir zarfa konulup kapatıldıktan sonra zarfın üzerine isteklinin adı, soyadı ve tebligata esas olarak göstereceği açık adresi yazılır. Zarfın yapıştırılan yeri istekli tarafından imzalanır veya mühürlenir.) B) İstekli tüzel kişilik ise; a- İhaleye İştirak dilekçesi, b- Tüzel kişiler adına ihaleye katılanların noter tasdikli yetki belgesi, c- Tüzel kişiler adına ihaleye katılanların noter tasdikli imza sirküsü, d- Tüzel kişiler adına Ticari sicil gazetesi fotokopisi, e- Yasal tebligat adresini belirten imzalı adres beyanı, f- Şartname bedelinin yatırıldığına dair makbuz,(5.000,00 TL) g- Geçici Teminat bedelinin yatırıldığına dair makbuz veya süresiz teminat mektubu, h- Belediyeye borcu olmadığına dair belge, ı- Tüzel Kişiler ihaleye katılacaksa, Ticaret ve Sanayi Odasından veya ilgili Esnaf ve Sanatkarlar Odasından kayıtlı olduğunu gösteren ihalenin yapıldığı yıl içinde alınmış belge, i- 2886 sayılı Kanunun 37.maddesi usulüne göre hazırlanmış, a- Dış Zarf (Bu zarf geçici teminata ait alındı veya banka teminat mektubu ve istenilen diğer belgelerler Dış zarfın üzerine isteklinin adı ve soyadı ile açık adresi ve teklifin hangi işe ait olduğu yazılır.) b- İç Zarf (Teklif mektubu, bir zarfa konulup kapatıldıktan sonra zarfın üzerine isteklinin adı, soyadı ve tebligata esas olarak göstereceği açık adresi yazılır. Zarfın yapıştırılan yeri istekli tarafından imzalanır veya mühürlenir.)
8- İhale üzerine kalan gerçek ve tüzel kişiler ihalenin tebliğini müteakip 15 gün içerisinde ihale masrafları (Her türlü vergi, Tellaliye ve diğer masraflar) ile beraber satış bedelini peşin yatıracaktır.
9- İhale ilan metni Belediyemiz www.mustafakemalpasa.bel.tr internet adresinden yayınlanmaktadır.
TOKİ’den konut müjdesi! O ile tam 220 bin konut yapılacak!
Deprem konutları zamanında teslim edilecek mi? Özgür Özel’den flaş iddia!