Denizli Büyükşehir'den 38 milyon TL'ye satılık 5 arsa!
Denizli Büyükşehir Belediyesi, 5 arsasını satışa sunuyor. Merkezefendi ve Pamukkale ilçelerindeki arsaların ihalesi 22 Kasım'da gerçekleşecek..
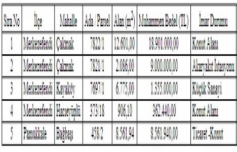
Denizli Büyükşehir Belediye Başkanlığı tarafından Merkezefendi ve Pamukkale ilçelerinde yer alan 5 arsa ihale usulü ile satışa sunuluyor. Toplam muhammen bedeli 38 milyon 180 bin 380 TL olarak belirlenen arsalar için ihale 22 Kasım'da yapılacak.
TAŞINMAZLAR SATILACAKTIR
Denizli Büyükşehir Belediye Başkanlığından:
Madde 1 - Mülkiyeti Denizli Büyükşehir Belediyesine ait, Denizli İlinde bulunan, aşağıda tapu kaydı yazılı 5 adet taşınmaz ayrı ayrı olmak üzere 2886 Sayılı yasanın 35/a maddesi uyarınca kapalı teklif ihale edilmek suretiyle satılacaktır.
İhale konusu taşınmazların bilgileri ile muhammen bedelleri ve geçici teminatları aşağıda tablo halinde gösterilmiş olup, ihalesi, ait olduğu satırda belirtilen tarih ve saatte Denizli Büyükşehir Belediyesi Encümen Salonunda yapılacaktır. Şartnamesi mesai saatleri dahilinde Denizli Büyükşehir Belediye Hizmet Binası, beşinci kat Emlak ve İstimlak Dairesi Başkanlığı Taşınmaz Mallar Şube Müdürlüğünden ücretsiz olarak temin edilebilecektir.

Madde 2 - İstekliler, teklif mektuplarını ihale gün ve saatine kadar Denizli Büyükşehir Belediyesi Yazı İşleri ve Kararlar Dairesi Başkanlığına kayıt numarası alarak teslim edecekler veya iadeli taahhütlü olarak da gönderebilecektir. İsteklilerin ihaleye katılabilmeleri için aşağıda sayılan belgelerin aslını veya noter tasdikli örneğini teklifleri kapsamında sunmaları gerekir:
A) Gerçek Kişiler;
1- Tebligat için, muhtarlıktan veya Nüfus ve Vatandaşlık Müdürlüklerinden tasdikli ikametgah belgesi
2- T.C. kimlik numaralı nüfus cüzdanı sureti.
3- Noter tasdikli imza beyannamesi, temsil durumunda noter tasdikli vekaletname ve vekalet edene ait imza beyannamesi.
4- Geçici teminat mektubu veya alındı belgesi/makbuzu.
5- Şekli ve içeriği bu şartnamede belirlenen teklif mektubu,
B) Tüzel Kişiler;
1- Tebligat için adres beyanı.
2- Mevzuatı gereği tüzel kişiliğin siciline kayıtlı bulunduğu ticaret ve/veya sanayi odasından, ilk ilan veya ihale tarihinin içerisinde bulunduğu yılda alınmış, tüzel kişiliğin sicile kayıtlı olduğuna dair belge.
3- İlgisine göre tüzel kişiliğin ortakları, üyeleri veya kurucuları ile tüzel kişiliğin yönetimindeki görevlileri belirten son durumu gösterir Ticaret Sicil Gazetesi veya bu hususları tevsik eden belgeler ile tüzel kişiliğin noter tasdikli imza sirküleri.
4- Temsil durumunda noter tasdikli vekaletname ve vekalet edene ait imza beyannamesi.
5- Geçici teminat mektubu veya alındı belgesi/makbuzu.
6- Şekli ve içeriği bu şartnamede belirlenen teklif mektubu.
C) Ortak Girişimler; Ortak girişimi oluşturan gerçek veya tüzel kişilerin her birinden (A) veya (B) maddelerindeki esaslara göre temin edecekleri belgeleri ve usulüne uygun iş ortaklığı beyannamesi,
Madde 3 - Başvuru dosyası idareye verildikten sonra, son müracaat tarihinden önce dahi olsa; dosya içindeki herhangi bir evrakın değiştirilmesi veya eksik evrakın tamamlanması yönünde isteklilerce yapılacak müracaatlar kabul edilmeyecek, İdareye verilen veya ulaşan teklifler herhangi bir sebeple geri alınamayacaktır.
Madde 4 - Bu işin ihalesine katılmak üzere kendi adına asaleten ve/veya başkaları adına vekaleten sadece tek bir başvuruda bulunulabilecektir. Aksi halde yapılacak başvurular değerlendirmeye alınmayacaktır.
Madde 5 - Bu duyuru kapsamında yapılacak satış işlemlerinde 2886 sayılı Devlet İhale Kanunu hükümleri uygulanır. İhale Komisyonu 2886 sayılı Kanun uyarınca ihaleyi yapıp yapmamakta serbesttir.
Madde 6 - Telgraf veya faksla yapılacak müracaatlar ve/veya postada meydana gelebilecek gecikmeler kabul edilmeyecektir.
İlan olunur.