Emlak Konut TOKİ'den 1.2 milyar TL'ye 110 arsa aldı!
Emlak Konut GYO, TOKİ'den, İstanbul, Yalova, Niğde, Nevşehir, Denizli ve Konya illerinde 2 milyon 20 bin 479 metrekarelik toplam 110 arsa satın aldı. Peki Emlak Konut nerelerden arsa aldı?
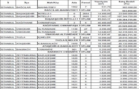
Emlak Konut GYO, TOKİ'den, İstanbul, Yalova, Niğde, Nevşehir, Denizli ve Konya illerinde 2 milyon 20 bin 479 metrekarelik toplam 110 arsa satın aldı. Emlak Konut GYO, arsalar için TOKİ'ye 1 milyar 292 milyon 654 bin 790 TL ödeyecek.
Emlak Konut GYO, İstanbul'da Bağcılar Mahmutbey'de, Başakşehir İkitelli'de, Üsküdar Altunizade'de, Tuzla İçmeler, Ataşehir Küçükbakkalköy, Bakırköy Osmaniye, Zeytinburnu Kazlıçeşme, Kağıthane Merkez (Huzur), Şile Balıbey'de arsalar aldı. Emlak Konut'un İstanbul'daki en büyük arsa alımları Kazlıçeşme ve Kağıthane bölgelerinde oldu.





Taşınmaz listesi için tıklayın
Gülcihan YELKENCİ/Emlakkulisi.com