İki şehirde satılık arsa ve araziler! 24 taksitle arsa fırsatını kaçırmayın!
İzmir ve Konya'da yer alan 12 arsa ile arazi satışa çıkarıldı. Satış ihaleleri 25 Haziran ve 27 Haziran'da yapılacak.
İzmir ve Konya'da yer alan 12 arsa ile arazi için satış ihalesi düzenleniyor. Yatırımcıların merakla beklediği satış ihaleleri 25 Haziran ve 27 Haziran'da yapılacak.
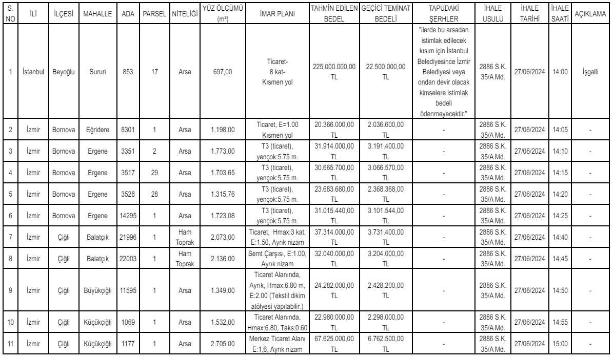
İzmir'de yer alan arsa ve arazilerin satış bedelleri 225 milyon TL ile 67 milyon 625 bin TL arasında, geçici teminat bedelleri ise 2 milyon 298 bin TL ile 22 milyon 500 bin TL arasında değişirken, Konya'da yer alan arsanın ise muhammen bedeli 102 milyon 660 bin Türk Lirası olarak geçici teminat bedeli ise 3 milyon 79 bin 800 Türk Lirası olarak açıklandı.
TAŞINMAZLAR SATILACAKTIR
İzmir Büyükşehir Belediye Başkanlığından:

1- Yukarıda nitelikleri belirtilen ilana ait taşınmaz malların 2886 sayılı Devlet İhale Kanununun 35 inci maddesinin ''a'' bendine göre ''kapalı teklif
usulü'' ile satış ihaleleri, İzmir Büyükşehir Belediyesi Mimar Sinan Mahallesi Kültürpark İçi 2 No'lu Hol Basmane-Konak/İZMİR adresindeki Hol-2
binasında 2183 Oda No'lu Encümen Toplantı Salonu'nda komisyon huzurunda 27/06/2024 Perşembe günü yapılacaktır.
2- İhaleye katılabilmek için;
a) Yasal yerleşim yeri belgesi
b) Tebligat için adres beyanı ve ayrıca irtibat için telefon ve fax numarası ile elektronik posta adresi
c) Gerçek Kişilerin T.C. Kimlik Numaralı Nüfus cüzdanı sureti, Tüzel Kişilerin Vergi Kimlik Numarası
d) Geçici teminat bedeli makbuzu veya teminat mektubu
e) İhale Şartnamesi alındı makbuzu (Taşınmaz Mal Satış Şartnamesi ve ekleri çalışma saatleri içerisinde İzmir Büyükşehir Belediyesi Mimar Sinan
Mahallesi Kültürpark İçi 1/A No'lu Hol Emlak Yönetimi Dairesi Başkanlığı Taşınmazlar Şube Müdürlüğünden 1.000,00-TL ücret karşılığında temin
edinilebilir.)
f) İstekli adına vekaleten iştirak ediliyorsa, isteklinin adına teklif vermeye yetkili olunduğuna dair noter tasdikli vekaletname ve imza örneği
g) İhale dökümanı içinde bulunan “İhale şartnamesini okudum ve şartnamede yazılı hususların tamamını olduğu gibi kabul ve taahhüt ederim. Her
çeşit Tebligat aşağıdaki adresime yapılabilir” taahhütnamesi.
h) Kamu ihalelerinden yasaklanmadığına dair taahhütname.
ı) İlgili bankadan alınmış vadesiz hesaba ait Iban no gösterir belge.
3- “Kapalı teklif usulü“nde teklifler yazılı olarak yapılır. Kapalı Teklif Usulü ile yapılacak ihaleye katılmak için 2886 sayılı Kanunun 37 nci
maddesine göre teklifler aşağıdaki bilgi ve belgeleri içerecek şekilde hazırlanacaktır.
A- İÇ ZARF:
İç zarfa şartnameye uygun olarak düzenlenecek teklif mektubu konulacaktır.2886 sayılı Devlet İhale Kanunu ve şartnamede açıklanan biçimde
teklifte bulunulması gerekmektedir. İhale teklif dosyası İdareye teslim edildikten sonra dosya içerisindeki herhangi bir evrakın değiştirilmesi veya eksik
evrakın tamamlanması yönünde yapılacak müracaatlar değerlendirmeye alınmayacaktır. İş bu ilan metni, mevzuatı gereği ilanda bulunması gerekli zorunlu
özet bilgileri içermektedir. Değerlendirmeye alınan isteklilerin başvuru dosyaları iade edilmeyecek olup, ihale üzerinde kalmayan isteklilerin geçici
teminatları iade edilecektir. Yukarıda verilen tapu bilgileriyle Tapu Müdürlüklerindeki kayıtlar arasında ihtilaf olması halinde Tapu Müdürlüklerindeki tapu
kaydı bilgileri esas alınır. Bundan dolayı İdare sorumlu tutulamaz.
B- DIŞ ZARF:
a) Teklifin gerçek kişi tarafından verilmesi halinde üzerinde Türkiye Cumhuriyeti kimlik numarası yazılı olan nüfus cüzdanı fotokopisi,
b) Türkiye’de tebligat için adres beyanı gösteren belge, irtibat için telefon ve varsa faks numarası ile elektronik posta adresi verilmesi,
c) Tüzel kişi olması halinde ilgili sicile kayıtlı olduğuna dair, ihale yılına ait belge verilmesi,
d) Tüzel kişilerde teklif vermeye yetkili olduğunu gösteren noterden onaylı imza beyannamesi veya imza sirküleri,
e) Vekaleten ihaleye katılma halinde, ihaleye katılmaya ilişkin olarak vekil adına düzenlenmiş, noter onaylı vekaletname ile vekilin noter tasdikli
imza sirküleri,
f) Süresiz ve teyit yazılı İzmir Büyükşehir Belediyesi adına geçici teminat mektubu veya İzmir Büyükşehir Belediyesi veznesine nakit olarak
yatırılmış geçici teminat alındı makbuzu,
g) İhaleye girecek isteklilerce hazırlanacak Kapalı Teklif Usulü Taşınmaz Mal Satış Şartnamesinde istenen ihaleye iştirak edemeyecek olanlar, yasak
fiil veya davranışlar ve ihale dışı bırakılma koşulları taşımadığına dair taahhütname belgesi,
h) İhale şartnamesinin satın alındığına dair belge konulacaktır. (Taşınmaz Mal Satış Şartnamesi ve ekleri çalışma saatleri içerisinde İzmir Büyükşehir
Belediyesi Mimar Sinan Mahallesi Kültürpark İçi 1/A No'lu Hol Emlak Yönetimi Dairesi Başkanlığı Taşınmazlar Şube Müdürlüğünden 1.000,00-TL ücret
karşılığında temin edinilebilir.)
ı) Ülkemizde yabancıların mülk edinmesi konusunda yasal mevzuat dahilinde herhangi bir engelleyici hüküm bulunmaması koşullarında T.C.
uyruğunda olmayan yabancıların ihaleye iştirak etmesi halinde verecekleri her türlü teminatlarda (geçici v.s. gibi) yerli bankalar veya özel finans
kurumlarının kontrgarantisi (Counterguarantee) istenecektir.
i) Yabancı istekliler Türkiye'de gayrimenkul edinilmesine ilişkin kanuni şartları taşımalı ve Türkiye'de adres beyanı gösterir belge sunmalıdır.
j) Yabancı isteklilerin sunacakları yurtdışında düzenlenmiş her türlü belgenin Türkiye Cumhuriyeti konsolosluklarınca tasdik edilmiş ve apostil
şerhinin havi olması gerekmektedir.
k) Bu ihaleye gerçek veya tüzel kişi veya bunların oluşturdukları ortak girişimler teklif verebilecektir.
4- İhaleye katılacak isteklilerin ihaleye ait Şartnamede belirtilen belgelerin ve hazırlayacakları tekliflerinin ihale tarihinden bir gün önce son evrak
verme tarihi 26/06/2024 Çarşamba günü en geç saat 12:00'a kadar İzmir Büyükşehir Belediyesi Mimar Sinan Mahallesi Kültürpark İçi 1/A No'lu Hol Emlak
Yönetimi Dairesi Başkanlığı Taşınmazlar Şube Müdürlüğü Basmane-Konak/İZMİR adresine teslim etmesi veya posta yoluyla ulaşmış olması
gerekmektedir. Postada oluşacak gecikmelerden İdare sorumlu değildir.
5- İhaleye katılacak olanların Taşınmazlar Şube Müdürlüğünden aldıkları İhale İştirak Belgesi ile ihale günü en geç saat 14:00' de Hol-2 binasında
2183 Oda No'lu Encümen Toplantı Salonu'nda hazır bulunmaları gerekmektedir. İhaleye posta yolu ile başvuru yapacak olan isteklilerin ihale teklifini iadeli
taahhütlü posta yoluyla ulaştırmaları gerekmekte olup, posta ile yapılacak müracaatlarda teklifin 2886 sayılı D.İ.K 37 inci maddesine uygun olarak
hazırlanması ve teklifin ihale saatinden önce komisyona ulaşması şarttır, postada meydana gelecek gecikmeler kabul edilmeyecektir.
6- İhale Komisyonu ihaleyi yapıp yapmamakta serbesttir.
BİLGİ İÇİN İLETİŞİM TELEFONU : (232) 293 32 72 - 293 18 41
İLAN OLUNUR.

GAYRİMENKUL SATILACAKTIR
Konya Büyükşehir Belediye Başkanlığından:

1- Mülkiyeti Belediyemize ait, yukarıda tapu kaydı belirtilen gayrimenkul, 2886 sayılı Devlet İhale Kanununun 35 (a) maddesi ve İhale Şartnamesi
dâhilinde kapalı teklif (artırma) ihale usulü ile satılacaktır.
2- İhale, 25.06.2024 Salı günü Belediye Encümeni tarafından Konevi Mh. Millet Cd. A Blok No:14 Meram/KONYA adresindeki Büyükşehir
Belediyesi Konevi toplantı salonunda yapılacaktır.
3- İhaleyi yapıp-yapmamakta ve uygun bedeli tespitte Belediye Encümeni tamamen serbesttir.
4- Gayrimenkulün muhammen bedeli, geçici teminatı, ödeme şekli ve ihale saati yukarıda belirtilmiştir.
5- İsteklilerin, 25.06.2024 Salı günü en geç saat 11.00’e kadar teklif zarflarını Konevi Mh. Millet Cd. No:14/5 Meram/KONYA adresinde bulunan
Belediyemiz Yazı İşleri ve Kararlar Dairesi Başkanlığına bağlı Kararlar Şube Müdürlüğüne vermeleri şarttır. Belirtilen saatten sonra gelen teklifler ve posta
ile başvurulması halinde postadaki gecikmeler kabul edilmeyecektir.
6- 2886 sayılı Devlet İhale Kanunu’nun 40. maddesine göre, geçerli en yüksek teklifin altında olmamak üzere, oturumda hazır bulunan isteklilerden
sözlü veya yazılı teklif alınmak suretiyle ihale sonuçlandırılır. Ancak Komisyon, uygun gördüğü her aşamada oturumda hazır bulunan isteklilerden yazılı son
tekliflerini alarak ihaleyi sonuçlandırabilir. Bu husus, ihale komisyonunca ikinci bir tutanakla tespit edilir.
7- İsteklilerin ihaleye katılabilmeleri için istenen belgeler:
7.1. Dilekçe,
7.2. Tebligat için adres beyanı,
7.3. Gerçek kişi olması halinde:
7.3.1. Nüfus Cüzdan Fotokopisi veya Sürücü Belgesi Fotokopisi (TC Kimlik Numaralı),
7.3.2. İmza beyannamesi,
7.4. Tüzel kişi olması halinde:
7.4.1. İlgisine göre tüzel kişiliğin ortakları, üyeleri veya kurucuları ile tüzel kişiliğin yönetimdeki görevlileri belirtilen son durumu gösterir Ticaret
Sicili Gazetesi veya bu hususları tevsik eden belgeler,
7.4.2. Ticaret ve/veya Sanayi Odasından ihaleye ilişkin ilanın yapıldığı yıl içerisinde alınmış belge,
7.4.3. Tüzel kişiliğin imza sirküleri,
7.5. İhaleye katılacak olan gerçek veya tüzel kişilerin Konya Büyükşehir Belediyesine herhangi bir borcu bulunmadığına dair belge, (Konevi Mh.
Millet Cd. No:14/8 Kat:1/104 Meram/KONYA adresinde bulunan Tahsilat Şefliği Bürosundan alınacaktır.)
7.6. Usulüne uygun teklif mektubunu içeren iç zarf,
7.7. İstekliler adına vekâleten iştirak ediliyor ise, istekli adına ihaleye katılan kişinin ihaleye katılmaya ilişkin Noter tasdikli vekâletnamesi ile Noter
tasdikli imza beyannamesi,
7.8. Ortak girişim olması halinde ortak girişim beyannamesi,
7.9. Geçici teminat olarak belirtilen bedeli Belediyemiz veznesine ya da Vakıflar Bankasındaki TR27 0001 5001 5800 7309 7530 04 Nolu İban
hesabımıza yatırarak aldıkları makbuz veya 2886 sayılı DİK’in 26. maddesinde belirtilen teminat yerine geçen belgelerden herhangi birisi. (Teminat
mektubu verilmesi halinde geçici teminat mektubunun süresiz ve limit içi olması, 2886 sayılı DİK’e göre düzenlenmiş olması gerekmektedir.)
8- Şartnameleri mesai saatleri içerisinde aşağıda iletişim bilgileri belirtilen Mali Hizmetler Dairesi Başkanlığı Gelir Şube Müdürlüğü Gelir
Şefliğinde bedelsiz olarak görülebilir.
a- Adres : Konevi Mh. Millet Cd. No:14/8 Kat:1/105 Meram/KONYA
b- Telefon : 444 55 42 Dahili : 4930-4931-4956
İlan olunur.
İnşaat yasağına uymayan Sinpaş'a belediyeden yüklü ceza!
ATEM Başkanı Akçam: İlan portalları emlak danışmanlarını mağdur ediyor!