Kızılcahamam Belediyesi'nden satılık 51 arsa!
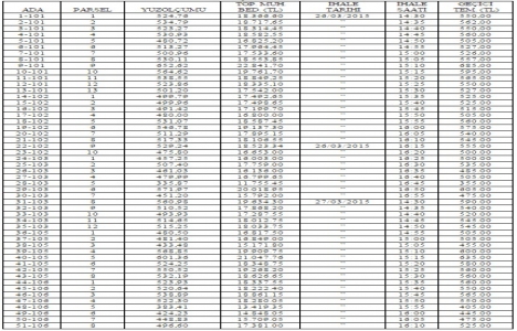
Kızılcahamam Belediye Başkanlığı tarafından Yakakaya Mahallesinde bulunan 51 adet arsanın satışı toplam 906 bin 280,50 TL'ye ihale edilecek.
ARSALAR SATILACAKTIR
Kızılcahamam Belediye Başkanlığından:
Mülkiyeti Belediyemize ait Yakakaya Mahallesinde bulunan aşağıda ada, parsel ve miktarı belirtilen taşınmaz mallar 06.03.2015 tarih ve 59 sayılı Encümen kararı ile 2886 S.K’nun 45. Maddesine göre 26.03.2015 ve 27.03.2015 tarihlerinde Belediye Encümen Toplantı Salonunda Belediye Encümeni huzurunda ihalesi yapılacak olup, ihaleye ait şartname bedeli mukabilinde Tahakkuk Tahsilat Şefliğinden alınabilir
İlgililere ilan olunur.
KIZILCAHAMAM BELEDİYESİNCE SATIŞA SUNULAN ARSALAR
