Kütahya Milli Emlak'tan satılık 82 gayrimenkul!
Kütahya Çevre ve Şehircilik İl Müdürlüğü (Milli Emlak Müdürlüğü), Kütahya ili, Merkez ilçesinde yer alan 82 gayrimenkulü satıyor...
Kütahya Çevre ve Şehircilik İl Müdürlüğü (Milli Emlak Müdürlüğü) tarafından, Kütahya ili, Merkez ilçesinde yer alan 82 gayrimenkul satışa çıkarıldı. Gayrimenkullerin satış ihalesi 22 Mart tarihinde saat 10:30'da gerçekleştirilecek.

İlan metni:
KÜTAHYA ÇEVRE VE ŞEHİRCİLİK İL MÜDÜRLÜĞÜNDEN
(Milli Emlak Müdürlüğü)
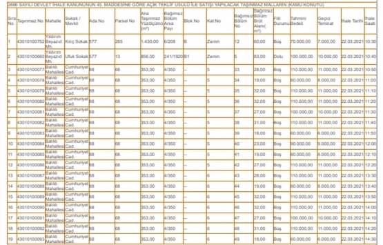
1- Aşağıda her türlü nitelikleri belirtilen mülkiyetleri Hazineye ait taşınır ve taşınmaz malların 2886 sayılı Devlet İhale Kanununun 45 inci ve 51/a maddelerine göre Açık Teklif Usulü ve Pazarlık Usulü ile hizalarında belirtilen tarih ve saatlerde Kütahya Çevre ve Şehircilik İl Müdürlüğündeki Milli Emlak Müdürlüğü Makam odasında toplanacak Komisyon tarafından satış ve kiralama ihaleleri yapılacaktır.
2- İhaleye katılabilmek için istekliler, kanuni ikametgah belgesini, nüfus cüzdanı örneğini, geçici teminat makbuzunu (Özel Hukuk Tüzel kişilerinin ise İdare merkezlerinin bulunduğu yer mahkemesinden veya siciline kayıtlı bulunduğu Ticaret ve Sanayi Odasından veya benzeri bir makamdan ihalenin yapıldığı yıl içinde alınmış tüzel kişiliğin siciline kayıtlı olduğuna dair belge ile tüzel kişilik adına ihaleye katılacak veya teklifte bulunacak kişilerin, tüzel kişiliği temsile yetkili olduğunu gösterir noterlikçe tasdik edilmiş vekaletnameyi yine gerçek kişiler adına ihaleye katılacak veya teklifte bulunacak kişilerin de temsile yetkili olduğunu gösterir noterlikçe tasdik edilmiş vekaletnameyi ) ihale saatine kadar Komisyona vereceklerdir. Posta ile başvurularda gecikmeler dikkate alınmayacaktır.
3- Taşınır malların satışında ihale bedeli üzerinden hesaplanacak KDV ile diğer vergiler, harçlar ve yasal yükümlülükler tahsil edilecektir.
4- İhaleye konu Yivsiz Av Tüfekleri 24/03/2021 tarihinde 13:30-15:30 saatleri içerisinde Müdürlüğümüzde görülebilir. İhaleden alınan tüfeklerin teslim edilebilmesi için yetkili kurumlardan alınmış Yivsiz Av tüfeği Ruhsatnamesi (İhaleden alınmış tüfeğin işlenmiş olması), Yivsiz Tüfek Satınalma Belgesi veya Yivsiz Av Tüfeği Satıcılık Bayiliği İzin Belgesini bulunması zorunludur.
5- Simkent Sitesinde bulunan daireler 25/03/2021 tarihinde saat 14:00 ile 15:00 arasında, Özerdoğmuşlar Apartmanında bulunan daireler 25/03/2021 tarihinde saat 15:00 ile 15:30 arasında gösterilebilecektir.
6- İhaleye ait şartname ve dosyası mesai saatleri içinde Milli Emlak Müdürlüğünde görülebilir.
KAMU KONUTLARI İÇİN;
7- İhalenin yapıldığı tarihte; adlarına görev, sıra ve hizmet tahsisli kamu konutu tahsis edilen (şartlı tahsisler dahil) ve fiilen konutta oturanlar öncelikli alım hakkına sahiptir.
8- Öncelikli alım hakkı bulunanların ödeme koşulları;
a) İhale bedelinin öncelikli alım hakkı sahibi tarafından, peşin olarak ödenmesi durumunda yüzde on oranında indirim uygulanır.
b) Taksitle ödenmesi halinde ise indirim uygulanmaksızın;
ba) En az yüzde yirmisi peşin, geriye kalanı beş yılda ve altmış taksitle,
bb) En az yüzde yirmibeşi peşin, geriye kalanı yedi yılda ve seksendört taksitle,
bc) En az yüzde otuzu peşin, geriye kalanı on yılda ve yüzyirmi taksitle ödenebilir. (*)
(*) Öncelikli alım hakkı sahibi bu ödeme seçeneklerinden herhangi birini tercih edebilir. Bu durumda borç bakiyesi ve aylık taksitler, her yılın Ocak ve Temmuz aylarında olmak üzere yılda iki kez Türkiye İstatistik Kurumunun her yıl için belirlediği tüketici fiyatları endeksi (TÜFE) aylık değişim oranında artırılarak hesaplanır. Bu şekilde yapılacak hesaplamalarda aylık değişim oranları toplamının yıllık yüzde onikiyi geçmesi halinde geçen kısım hesaba katılmaz.
9- Öncelikli alım hakkı sahibinin kamu konutunu satın almak istemediğini bildirmesi, süresi içerisinde herhangi bir bildirimde bulunmaması ya da yükümlülüklerini yerine getirmemesi halinde, en yüksek teklifi veren istekli tarafından satış bedeli peşin veya 4706 sayılı Kanunun 5 inci maddesinin birinci fıkrasında belirtilen şekilde en az dörtte biri peşin, kalanı en fazla iki yılda ve taksitlerle kanunî faizi ile birlikte ödenebilir.
10- Öncelikli alım hakkı sahibinin; kamu konutunu satın almak istemesi ve süresi içerisinde satış bedelini peşin olarak ödemesi veya peşinatı ödeyerek Taksitli Satış Sözleşmesini imzalaması halinde bu durum İhalede en yüksek teklifi veren isteklisine bildirilir.
11- Bedelin yetkili kredi kuruluşlarından kredi temin edilerek ödenmek istenilmesi halinde, alıcı tarafından kredi kuruluşu ile yapılan kredi sözleşmesi veya kredi açıldığına dair kredi kuruluşunun resmî yazısının İdareye verilmesi ve bedelin kredi kuruluşu tarafından Defterdarlık Muhasebe Müdürlüğünde açılacak emanet hesabına aktarılması gerekir.
a) Bankanın ayrıca ekspertiz yaptırması halinde söz konusu ekspertiz raporu İdaremizi bağlamayacak olup, söz konusu rapora ilişkin tüm hususlarda Banka ile alıcılar muhatap olacaktır.
b) Banka, alıcının Sözleşme Öncesi Bilgi Formunu, Kredi Sözleşmesini ve ödeme planı ile banka tarafından talep edilecek sair gerekli belgeleri imzalaması kaydıyla kişiye kredi kullandıracaktır.
c) Kredi kullanarak ödeme imkanı yalnızca satış bedelinin peşin ödenmesi halinde mümkün olacaktır, Ancak, bu peşin ödemenin bir kısmı için kredi kullanılması mümkündür. Bu durumda peşin ödenmesi gereken bedel ile kredi olarak ödenen bedel arasındaki farkın kredi kullanan alıcı tarafından tamamlanarak. Ödeme süresi içinde Banka nezdinde İdaremiz (Hazine) lehinde blokede (Emanet) tutulması gerekmektedir.
12- İhalelerde taşınmaz satış bedelleri peşin ödenebileceği gibi taksitle ödenmek istenilmesi halinde, ihale bedelinin 1/4' i peşin geri kalan kısmı ise kanuni faiz uygulanmak üzere 2 yılda 8 eşit taksitle ödenebilir.
13- Posta yoluyla yapılan müracaatlarda teklifin 2886 sayılı Devlet İhale Kanununun 37’nci maddesine uygun olarak hazırlanması ve teklifin ihale saatinden önce Komisyona ulaştırılması şarttır. Postada meydana gelebilecek gecikmelerden dolayı İdare ve Komisyonca herhangi bir sorumluluk kabul edilmeyecektir.
14- 4706 sayılı Kanunun 7 nci maddesinin dördüncü fıkrası ile 3065 sayılı Katma Değer Vergisi Kanununun 17 nci maddesinin dördüncü fıkrasının (p) bendi gereğince, mülkiyeti Hazineye ait taşınmazların satış ve devir işlemleri ve bu işlemler sırasında düzenlenen belgeler, vergi, resim ve harçtan müstesnadır. Satışı yapılan taşınmaz, satış tarihini takip eden yıldan itibaren beş yıl süre ile emlak vergisinden muafır.
15- İhale Komisyonu, gerekçesini bildirmek suretiyle, ihaleyi yapıp yapmamakta serbesttir.
16- Bu ihaleye ilişkin bilgiler www.kutahya.csb.gov.tr internet adresinden öğrenilebileceği gibi, Türkiye genelindeki ihale bilgileri www.milliemlak.gov.tr adresinden de öğrenilebilir.
Kütahya Tel: 0.274.223 60 75
İLAN OLUNUR.




İhale ilanı için tıklayın