Menemen Belediyesi 48 adet arsa, arazi ve konutu satışa çıkardı!
Menemen Belediye Başkanlığı, mülkiyetinde bulunan arsa, arazi ve konutları satışa çıkardı. 48 adet gayrimenkulün toplam satış bedeli 517 milyon 86 bin 620 TL olarak belirlendi.
İzmir İli Menemen Belediye Başkanlığı, mülkiyetinde bulunan toplamda 48 adet gayrimenkulü satışa çıkardı. Söz konusu arsa, arazi, ve konutlar Ahıhıdır, Ayvacık, Belen, Çavuş, Emiralem, Kasımpaşa, Koyundere, Maltepe, Seyrek, Tülbentli, Türkeli, Ulucak ve Yanık mahallerinde yer alıyor.
Toplam değeri 517 milyon 86 bin 620 TL olarak belirtlenen arsa, arazi ve konutların satış ihalesi 16 Aralık ve 17 Aralık’ta Menemen Belediyesi Meclis Salonunda Belediye Encümeni tarafından yapılacak.

MENEMEN'DE SATILIK ARSA, ARAZİ VE KONUTLAR
GAYRİMENKUL (ARSA, TARLA, MESKEN) SATIŞ İHALELERİ YAPILACAKTIR
İzmir İli Menemen Belediye Başkanlığından:







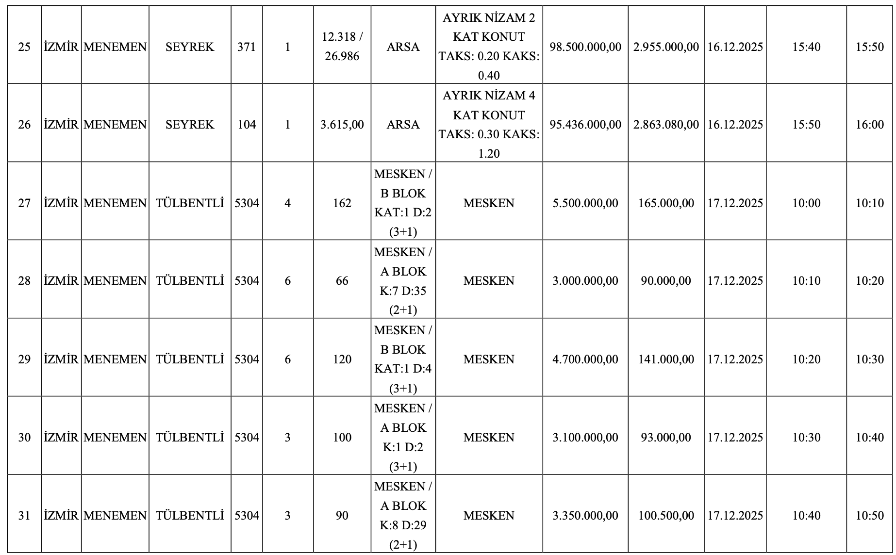
Yukarıda nitelikleri belirtilen mülkiyeti Belediyemize ait 48 adet taşınmaz 2886 sayılı Devlet İhale Kanunu'nun 35 (a) maddesi kapalı teklif usulü ile kapalı teklif ihale hükümleri uygulanarak satılacaktır.
1. İhaleler, Camiikebir Mah. Şehit Kemal Caddesi No:1 adresinde bulunan Menemen Belediyesi Meclis Salonunda Belediye Encümeni tarafından yukarıda belirtilen tarih ve saatlerde yapılacaktır.
2. Taşınmaz Mal Satış Şartnamesi ve ekleri çalışma saatleri içerisinde İzmir İli Menemen ilçesi Camiikebir Mah. Şehit Kemal Caddesi No:1 adresindeki Menemen Belediyesi Binasında Emlak ve İstimlâk Müdürlüğü Satış- Kiralama Biriminden 5.000,00-TL ücret karşılığında temin edinilebilir.
3. İhaleyi yapıp yapmamakta ve uygun bedeli tespitte Belediye encümeni tamamen serbesttir.
4. Muhammen bedeller, geçici teminat bedelleri ve ihale tarih ve saati yukarıda belirtilmiştir.
5. İhaleye katılacak isteklilerin en geç ihalelerden bir mesai günü önce (16.12.2025 tarihindeki ihaleler için 15.12.2025 tarihi saat 15:00’e kadar, 17.12.2025 tarihindeki ihaleler için 16.12.2025 tarihi saat 15:00’e kadar, teklif zarflarını Camiikebir Mah. Şehit Kemal Caddesi No:1 Menemen /İzmir adresinde bulunan belediyemizin Emlak ve İstimlâk Müdürlüğü Satış- Kiralama Birimine vermeleri şarttır. Belirtilen saatten sonra gelen teklifler ve posta ile başvurulması halinde postadaki gecikmeler kabul edilmeyecektir.
6. İhaleler sonucunda ihalede en yüksek teklifi vererek ihaleyi kazanan alıcılar 2886 Sayılı Kanunun 32. Maddesi ve Belediyemiz tarafından ilan edilen şartnameye uygun olarak tebliğ tarihinden itibaren 15 (onbeş) gün içinde, Belediyenin hesap numaralarına ve/veya Belediyemiz veznesine nakit olarak yatırması gerekmektedir.
7. İhale bedelini 15 (onbeş) gün içerisinde ödemeyen alıcıya herhangi bir tebligat veya bildirime gerek duyulmadan ihale kararı kaldırılır ve geçici teminat iade edilmez, gelir kaydedilir.
8. 2886 sayılı Devlet İhale Kanunu’nun 40. Maddesine göre, Geçerli en yüksek teklifin altında olmamak üzere, oturumda hazır bulunan isteklilerden sözlü veya yazılı teklif alınmak suretiyle ihale sonuçlandırılır. Ancak Komisyon, uygun gördüğü her aşamada oturumda hazır bulunan isteklilerden yazılı son tekliflerini alarak ihaleyi sonuçlandırabilir. Bu husus, ihale komisyonunca ikinci bir tutanakla tespit edilir.
9. İsteklilerin ihaleye katılabilmeleri için istenen belgeler:
9.1. Dilekçe,
9.2. Tebligat için adres beyanı,
9.3. Taşınmaz Mal Satış Şartnamesi Alındı Makbuzu,
9.4. Yatırmış olduğu geçici teminat makbuzunun aslı veya banka teminat mektubu.(Teminat mektubu verilmesi halinde teminat mektubunun süresiz ve limit içi olması gerekmektedir.)
9.5. İhaleye katılamayacak olanlar, yasak fiil ve davranışlar ve ihale dışı bırakılma koşulları taşımadığına dair taahhütname.
9.6. Gerçek kişi olması halinde:
9.6.1. Nüfus Cüzdan Fotokopisi veya Sürücü Belgesi Fotokopisi (TC Kimlik Numaralı),
9.6.2. İmza beyannamesi (noter onaylı),
9.7. Tüzel kişi olması halinde:
9.7.1. İlgisine göre tüzel kişiliğin ortakları, üyeleri veya kurucuları ile tüzel kişiliğin yönetimdeki görevlileri belirtilen son durumu gösterir Ticaret Sicili Gazetesi veya bu hususları tevsik eden belgeler,
9.7.2. Ticaret ve/veya Sanayi Odasından ihaleye ilişkin ilanın yapıldığı yıl içerisinde alınmış belge,
9.7.3. Tüzel kişiliğin imza sirküleri (noter onaylı),
9.8. Usulüne uygun teklif mektubunu içeren iç zarf,
9.9. İstekliler adına vekâleten iştirak ediliyor ise, istekli adına ihaleye katılan kişinin ihaleye katılmaya ilişkin Noter tasdikli vekâletnamesi ile Noter tasdikli imza beyannamesi,
9.10. Ortak girişim olması halinde ortak girişim beyannamesi (noter onaylı),
9.11. İhale şartnamesinin son sayfasındaki taahhüt doldurulmuş hali ile her sayfasının altı paraflanmak suretiyle Şartname.
9.12. İzmir İli Menemen ilçesi Camiikebir Mah. Şehit Kemal Caddesi No:1 adresindeki Menemen Belediyesi Binasında Mali Hizmetler Müdürlüğü İcra Tahakkuk Biriminden alınacak olan Menemen Belediyesine herhangi bir borcu olmadığına dair belge
a) Adres: Camiikebir Mahallesi Şehit Kemal Caddesi No:1 Menemen/ İZMİR Tel: 444 80 08 Dahili: 3147
İlan olunur.