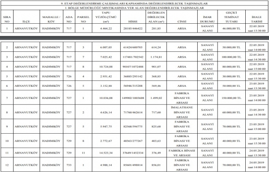
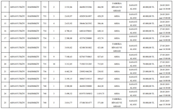
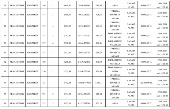
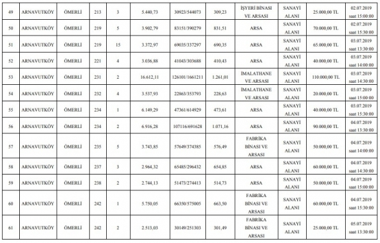
TCDD Arnavutköy'deki 107 arsayı 68.9 milyon TL'ye satıyor!
Devlet Demiryolları İşletmesi Genel Müdürlüğü 1. Bölge Müdürlüğünden, 9.Etap Değerlendirme Çalışmaları kapsamında İstanbul il sınırları içerisinde bulunan 107 adet taşınmazı 68 milyon 910 bin TL'ye satıyor.
Devlet Demiryolları İşletmesi Genel Müdürlüğü 1. Bölge Müdürlüğünden, 9.Etap Değerlendirme Çalışmaları kapsamında İstanbul il sınırları içerisinde yer alan 107 arsayı satışa çıkardı. Söz konusu gayrimenkullerin satış bedeli 68 milyon 910 bin TL olarak belirlendi.
Devlet Demiryolları İşletmesi Genel Müdürlüğü 1. Bölge Müdürlüğü,
1 - Mülkiyeti, TCDD İşletmesi Genel Müdürlüğüne ait 9.Etap Değerlendirme Çalışmaları kapsamında İstanbul il sınırları içerisinde bulunan 107 adet taşınmazın Teşekkülümüze ait hisseleri satılacaktır. Satış İhalesi; Teklifler, TCDD 1. Bölge Müdürlüğü Emlak Servis Müdürlüğüne elden kapalı zarfla teklif almak suretiyle teslim edilecek ve görüşmeler yapmak suretiyle TCDD 1. Bölge Müdürlüğü binası toplantı salonunda, “Pazarlık Usulü” ile yapılacaktır. Belirtilen tarih ve saatten sonra verilecek teklifler değerlendirilmeyecektir. İhale Komisyonunca gerek görülmesi halinde, ihale, pazarlık görüşmesine devam edilen teklif sahiplerinin katılımı ile açık artırma suretiyle sonuçlandırılabilecektir.
2 - TCDD Genel Müdürlüğü ihale işlemlerini 4046 sayılı Kanun çerçevesinde yürütmektedir. Özelleştirme işlemleri 2886 sayılı İhale Kanunu ile 4734 sayılı Kamu İhale Kanunu’na tabi olmayıp, TCDD, ihaleyi yapıp yapmamakta, dilediğine yapmakta, teklif verme süresini belirli bir tarihe kadar veya bilahare belirlenecek bir tarihe kadar uzatmakta serbesttir.
3 - İhale dokümanları, TCDD 1. Bölge Müdürlüğü veznesine veya Türkiye Vakıflar Bankası Kadıköy Finansmarket şubesinde bulunan TR 08 0001 5001 5800 7293 4446 39 nolu iban numaralı hesabına 590,00 (Beş yüz) TL yatırılarak (Dekontlar İhale öncesi Muhasebe ve Finansman Müdürlüğü tarafından onaylatılacaktır.), üstünde teklif sahibinin teklif vereceği bağımsız bölüm bilgisi, adı soyadı, unvanını da açıkça belirtildiği dekont karşılığında, TCDD 1. Bölge Müdürlüğü Emlak Servis Müdürlüğü Haydarpaşa adresinden temin edilebilir. Doküman bedeli kesinlikle iade edilmeyecektir.
4 - Geçici teminat bedelleri Madde 3’deki aynı hesap numarasına veya TCDD 1. Bölge Müdürlüğü veznesine ihale ilan adı günü ve saati yazılarak yatırılacaktır.
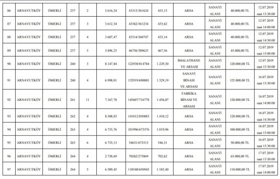
5 - İhale konusu taşınmazların satışı için geçici teminat miktarları ve ihale tarihleri tabloda belirtilmiştir. Teklifler (Şartnamede belirtildiği şekilde) ihale tarihinde saat 13:00’a kadar Emlak Servis Müdürlüğü’ne elden teslim edilmelidir.
6 - Satışı yapılacak olan hisseli taşınmazların diğer hisselerin sahiplerinin, İhale konusu Teşekkülümüze ait hissesinin üzerinde Şufa (önalım) hakkı bulunmaktadır. İsterse bu hakkı kullanabilecektir.








