Vakıflardan satılık 36 konut!
Vakıflar Genel Müdürlüğü Hatay'daki 36 konutu 17 Kasım 2025 tarihinde ihaleyle satışa çıkaracağını duyurdu.
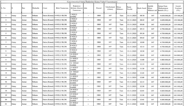
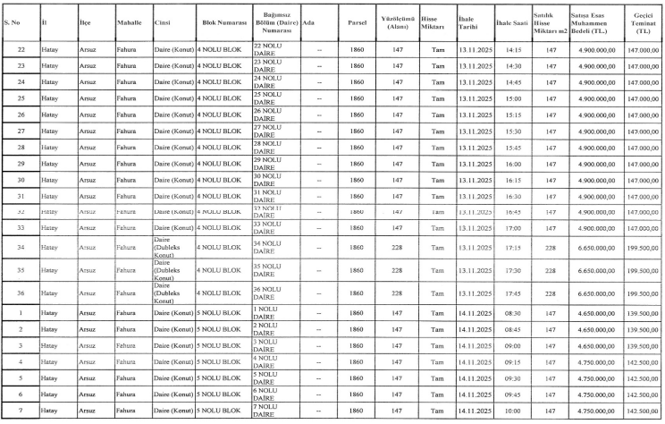
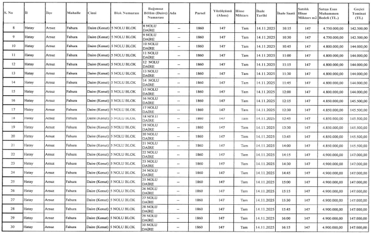
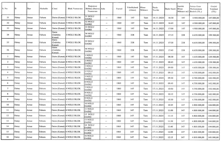
Vakıflar Genel Müdürlüğü Hatay Vakıflar Bölge Müdürlüğü Hatay'da yer alan 36 adet konutu satışa çıkarıyor.
Vakıflar Genel Müdürlüğü Hatay Vakıflar Bölge Müdürlüğü tarafından satışa çıkarılan konutlar Hatay Arsuz'da yer alıyor. 3 oda 1 salon konutlar 147 metrekare alana sahip.
Satışa çıkarılan konutların muhammen bedelleri 4 milyon 650 bin TL ile 6 milyon 650 bin TL arasında olduğu açıklandı. Konutların satış ihalesi 17 Kasım 2025 tarihinde 08:30-12:45/ 13:30-17.45 saatleri arasında Karaağaç Mahallesi Uğur Mumcu (Övündük) Caddesi Arsuz/HATAY bulunan Vakıfpar Konutları Satış Ofisinde gerçekleştirilecek.
VAKIFLARDAN SATILIK KONUT
Vakıflar Genel Müdürlüğü Hatay Vakıflar Bölge Müdürlüğünden:




1-) Yukarıda evsafi yazılı vakıf taşınmazın hizalarında belirlenen muhammen bedel üzerinden (Idaremizin 3065 Sayılı KDV Kanununun 17/p maddesi gereği KDV'den muaftır.) 13.11.2025, 14.11.2025 ve 17.11.2025 tarihlerinde Perşembe-Cuma ve Pazartesi günleri 08:30-12:45/ 13:30-17.45 saatleri arasında Karaağaç Mahallesi Uğur Mumcu (Övündük) Caddesi Arsuz/HATAY bulunan Vakıfpar Konutları Satış Ofisinde satışı yapılacaktır.
2-) Taliplilerin ihaleye girebilmeleri için hizalarında yazılı geçici teminatı ile şahıs olarak ihaleye girecekler için elektronik devlet ortamından (e-devlet) ikametgah belgesi ve nüfus cüzdanı sureti veya vukuatlı nüfus kayıt örneği ve yerleşim yeri belgesi (adres beyanı) ile birlikte, şirket olarak girecekler ise; Ticaret Sicil Gazetesi, Faliyet Belgesi ile İmza Sirkülerinin aslı veya noterden tasdikli suretleri ile birlikte en geç ihale tarihinden önce Vaklif Park Konutları Satış Ofisine müracaat edip, evrakları ile birlikte geçici teminatlarını yatırmaları gerekmektedir.
3-) Geçici Teminat Bedelinin Yatırıldığına Dair Makbuz, geçici bedelinin Hatay Vakıflar Bölge Müdürlüğü Mazbut Vakıflar adına Vakıf Katılım Antakya Şubesinde bulunan (TR19 0021 0000 0030 0003 1000 01) numaralı İdare hesabına (İşin adı ile birlikte ihaleye katılan tüzel veya gerçek kişiliğin adı-soyadı ünvanı ile TC kimlik numarası vergi numarası ve Geçici Teminat Bedeli olduğu belirtilmek suretiyle) nakit olarak yatırıldığına dair geçici teminat makbuzu diğer belgeler ile birlikte sunulması gerekmektedir. Geçici teminatların geri ödemeleri katılımcıların Banka hesap numaralarına aktarılacaktır. Geçici teminat mektubu vermek isteyenler ise kesin ve süresiz olarak düzenlenmiş olması gerekmektedir.
4) İstekli adına vekalet edilmesi halinde, istekli adına teklifte bulunacak vekilin ihale tarihi itibariyle geçerliği devam eden noter tasdikli vekaletnamesi ile noter tasdikli imza beyannamesi,
5-) Şahıs ve şirketler ihaleye ortak girmek istedikleri takdirde, noterden tasdikli ortaklık beyannamesi getirmeleri gerekmektedir.
6-) İhalelere katılamaktan yasaklı olmadığına dair, ekli örneğe uygun İhalelerden Yasaklılık Durum Formu (Ek-1)
7-) İhale dökümanının satın alındığına dair makbuz ile ihale konusu taşınmazların yerinde görüldüğüne dair Yer Görme Formu
8-) Terör Örgütlerine iltisakı yahut bunlarla irtibatı olmadığına dair noter onaylı taahhütname (Ek-3)
9-) İdarece talep edilen tüm evrakların tamamı ihale tarih ve saatinden önce ihale komisyon başkanlığına teslim edilmesi gerekmektedir.
10-) Dilekçe ile müracaat ederek ihale gününün bildirilmesini isteyenlere işbu ilan ile tebliğ yapılmış sayılacağından, ayrıca bildirimde bulunulmayacaktır.
11-) thale 2886 Sayılı Devlet İhale Kanununun ilgili kanun kapsamında ihale edilecektir. İdaremiz ihaleyi yapıp yapmamakta ve uygun bedeli tespitte serbesttir.
11-) İhaleye çıkarılan bu taşınmazların satışı ile ilgili her türlü vergi, resim, harç ve oluşması durumunda KDV tutarı ile tapudaki ferağ muameleri ve masrafları alıcıya aittir.
12-) İhalede satışı üzerinde kalan şahıs ve şirket süresi içerisinde ferağ işlemlerinin tamamlanmadığı takdirde geçici teminatları bütceye irad kaydedilir. Şahıs ve şirketler bir yıl süre ile tüm ihalelere
alınmazlar.
13-) İhaleye çıkartılan taşınmazın ihalede oluşacak bedeller vergi, resmi harç ve diğer satış masrafların tamamı, ile oluşması durumunda KDV alıcıya aittir. İdarece alacaklıya tapu devri yapılmadan önce süreçler tamamlanacaktır.
14-)Satış ile şartname ve tüm eklerinin mesai saatleri içerisinde Vaklif Park Konutları Satış Ofisi adresinde 1.000,00 TL mukabili temin edilebilir.
ILAN OLUNUR.