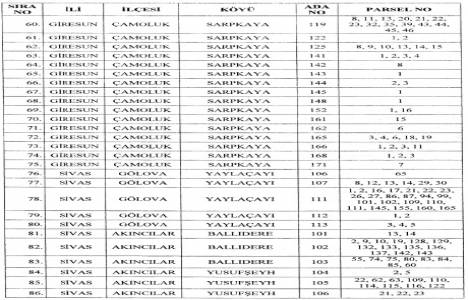
Yakınca Regülatörü ve Hidroelektrik Santrali için Giresun ve Sivas'ta kamulaştırma yapılacak!
Yakınca Regülatörü ve Hidroelektrik Santrali için Giresun Çamoluk'a bağlı Ozan, Kılıçtutan, Akyapı, Köroğlu, Hacıahmetoğlu, Eğnir, Bayır, Sarpkaya köylerinde ve Sivas Gölova Yaylaçayı, Akıncılar'a bağlı Ballıdere ve Yusufşeyh köylerinde acele kamulaştırma
BAKANLAR KURULU KARARI
Karar Sayısı : 2014/6755
Giresun İlinde tesis edilecek Yakınca Regülatörü ve Hidroelektrik Santralinin yapımı amacıyla ekli listede bulundukları yer ile ada ve parsel numaraları belirtilen taşınmazların tapuda Hazine adına tescil edilmek üzere Maliye Bakanlığı tarafından acele kamulaştırılması; anılan Bakanlığın 23/7/2014 tarihli ve 22046 sayılı yazısı üzerine, 2942 sayılı Kamulaştırma Kanununun 27 nci maddesine göre, Bakanlar Kurulu’nca 1/9/2014 tarihinde kararlaştırılmıştır.


