3. Köprü ve Kuzey Marmara Otoyolu için acele kamulaştırılacak alanlar!
3. Boğaz Köprüsü dahil Kuzey Marmara Otoyolu projesi kapsamında bazı parsellerin Karayolları Genel Müdürlüğü tarafından acele kamulaştırılması kararı alındı. Karar bugünkü 29236 sayılı Resmi Gazete'de yayımlandı.
3. Boğaz Köprüsü dahil Kuzey Marmara Otoyolu projesi kapsamında bazı parsellerin Karayolları Genel Müdürlüğü tarafından acele kamulaştırılması kararı alındı.
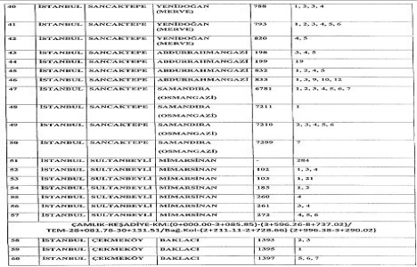
Kamulaştırma kararına göre Başakşehir - İkitelli, Arnavutköy - Boğazköy, Sarıyer - Uskumru ve Kilyos, Beykoz'da Anadolufeneri, Paşamandıra, Poyraz, Öğümce, Bozhane, Kılıçlı, İshaklı, Çekmeköy'de Merkez, Hüseyinli, Ömerli, Nişantepe, Alemdağ, Baklacı, Sancaktepe'de Hilal, Paşaköy, Yenidoğan (Mevlana), Yenidoğan (Merve), Abdurrahmangazi, Samandıra, Sultanbeyli'de Mimarsinan, Ümraniye'de Fatih Sultan Mehmet bölgelerinde acele kamulaştırma yapılacak.
BAKANLAR KURULU KARARI
Karar Sayısı : 2015/7158
Kuzey Marmara Otoyolu (3. Boğaz Köprüsü Dahil) Projesi kapsamında, ekli harita ile listede güzergâhı, bulunduğu yer ve ada/parsel numaraları gösterilen taşınmazların Karayolları Genel Müdürlüğü tarafından acele kamulaştırılması; Ulaştırma, Denizcilik ve Haberleşme Bakanlığının 5/1/2015 tarihli ve 500 sayılı yazısı üzerine, 2942 sayılı Kamulaştırma Kanununun 27 nci maddesine göre, Bakanlar Kurulu’nca 5/1/2015 tarihinde kararlaştırılmıştır.




Kamulaştırılacak parseller için tıklayın