Adana ve Mersin’de satılık 30 arsa ve arazi!
Belediyeler, Adana ve Mersin’de yer alan 30 adet arsayı satışa çıkardı. Arsaların satış ihaleleri 12 Şubat ve 13 Şubat’ta yapılacak.
Mersin Büyükşehir Belediye Başkanlığı ve Yüreğir Belediye Başkanlığı, Mersin ve Adana’da yer alan 30 adet arsa ve araziyi satışa çıkardı. Satışa çıkarılan arsa ve arazilerin muhammen bedelleri ile ihale tarihleri de peş peşe açıklandı.
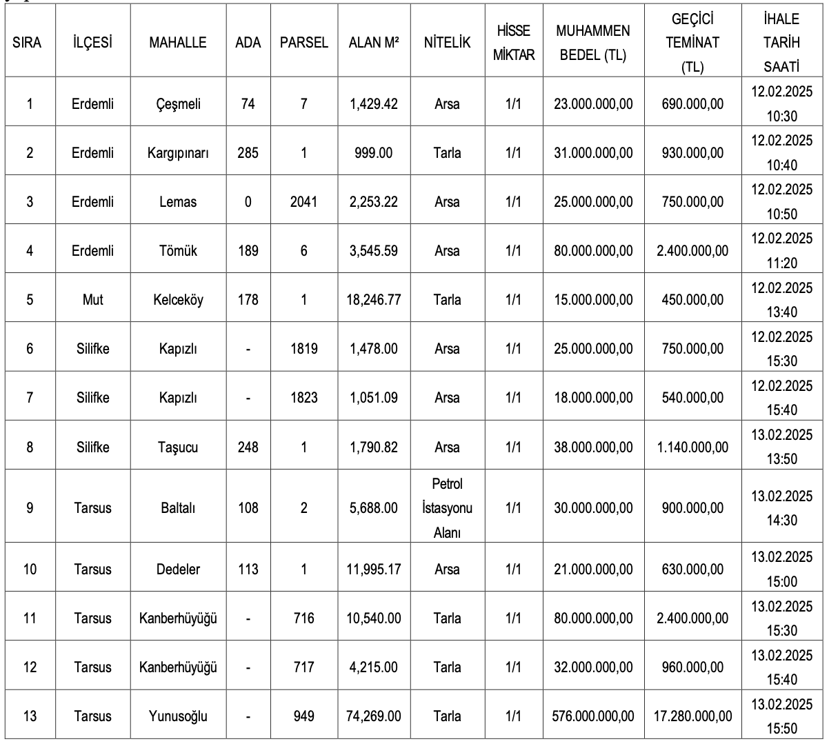
Mersin Erdemli, Mut, Silifke Tarsus’ta yer alan 13 adet arsa ve arazinin yüz ölçümleri 999 metrekare ile 74 bin 269 metrekare arasında değişiyor.
Arsa ve arazilerin muhammen bedelleri 15 milyon TL ile 576 milyon TL arasında değişirken, geçici teminat bedelleri ise 450 bin TL ile 17 milyon 280 bin TL arasında değişiyor.
Söz konusu arsa ve arazilerin satış ihaleleri 13 Şubat 2025 tarihinde saat 10.30 ile 15.50 arasında Mersin
Büyükşehir Belediyesi Toplantı Salonunda yapılacak.
BELEDİYELERDEN İKİ ŞEHİRDE SATILIK 30 ARSA VE ARAZİ
Adana Yüreğir’de yer alan 17 adet arsa ve arazinin yüz ölçümleri 288 metrekare ile 5 bin 799,07 metrekare arasında değişiyor.
Satışa çıkarılan arsa ve arazilerin muhammen bedelleri 201 bin 600 TL ile 65 milyon TL arasında, geçici teminat bedelleri ise 6 bin 48 TL ile 1 milyon 950 bin TL arasında değişiyor.
Arsa ve arazilerin satış ihaleleri 13 Şubat 2025 tarihinde saat 10.00 ile 16.40 arasında Yüreğir İlçe Belediyesi Encümen salonunda yapılacak.
TAŞINMAZLAR SATILACAKTIR
Mersin Büyükşehir Belediye Başkanlığından:
1. Madde: İHALENİN ŞEKLİ, YAPILACAĞI ZAMANA, YERE VE TEKLİF
VERMEYE İLİŞKİN HUSUSLAR
A) İdareye ilişkin bilgiler
1) İdarenin Adı: Mersin Büyükşehir Belediyesi
2) İdarenin Adresi: Akdeniz İlçesi, İsmet İnönü Bulvarı, Kültür Mahallesi, 4304 Sokak No:1/A Akdeniz/MERSİN
3) Telefon & Faks numarası: (324) 533 14 01
4) İhalenin Şekli: 2886 sayılı Devlet İhale Kanununun 36. maddesi (Kapalı Teklif Usulü)
5) İhalenin ne zaman ve nerede yapılacağı: Akdeniz İlçesi, İsmet İnönü Bulvarı, Kültür Mahallesi, 4304 Sokak No:1/A Mersin Büyükşehir Belediyesi Bodrum (-1) bulunan Toplantı Salonunda İlan tablosundaki ihale sırası,
tarihi ve saatine göre yapılacaktır.
2. Madde: İhaleye İlişkin Bilgiler ;
1) Mersin Büyükşehir Belediyesine ait aşağıda niteliği, nevi ve miktarı belirtilen 13 Adet taşınmazın 2886 sayılı Devlet İhale Kanununun 36. maddesi Kapalı Teklif Usulü ile satış işlemi yapılacaktır

2) İhale Şartnamesi ve satış sözleşmesi, Mersin Büyükşehir Belediyesi Emlak ve İstimlak Daire Başkanlığı Emlak Yönetimi ve Tahsis Şube Müdürlüğünden (Mahmudiye Mahallesi Kuvayi Milliye Caddesi Metropol İş Merkezi Kat:24 Akdeniz/MERSİN) ücretsiz olarak görülebilir ve istekli ihaleye katılım için şartname her taşınmaz için ayrı ayrı olmak üzere 10.000,00-TL. bedel karşılığında alınabilir.
3) İhale üzerinde kalan istekli ihale kararının tebliğinden itibaren 15 (onbeş) gün içinde Belediyemize ihale bedelini peşin yatıracaktır.
4) Taşınmazın İhale ile ilgili olarak her türlü vergi, resim, harçları ve diğer giderlerini ödemek, İhale üzerinde kalan istekliye aittir.
5) İlan, İdari Tip Şartname ve Satış Sözleşmesindeki hükümler bir bütündür.
3. Madde: İHALEYE KATILACAK İSTEKLİLERİN AŞAĞIDAKİ ŞARTLARI SUNMALARI GEREKİR
A) Gerçek Kişi Olması Halinde
a) Kanuni İkametgah Belgesi (e-Devlet kare kodlu çıktısı kabul edilir.)
b) Nüfus Cüzdan Fotokopisi (Aslı İhale aşamasında ibraz edilecektir.)
c) Adli Sicil Belgesi (e-Devlet kare kodlu çıktısı kabul edilir.)
d) İmza Beyannamesi (Noter Onaylı)
B) Tüzel Kişi Olması Halinde
a) Tüzel kişiliğinin siciline kayıtlı bulunduğu Oda Kayıt Belgesi Ticaret ve/veya Sanayi Odasından veya İdare Merkezinin bulunduğu yer mahkemesinden veya benzeri bir makamdan düzenlenmiş Tüzel Kişiliğin siciline kayıtlı olduğuna dair belgenin aslı veya noter tasdikli suretini ibraz edecektir.
b) Tüzel Kişi temsilcisi ve baskın hisseye sahip ortaklarının Adli sicil belgeleri,
c) İlgisine göre Tüzel Kişiliğinin Ortakları, Üyeleri veya Kurucuları ile Tüzel Kişiliğin yönetimindeki görevleri belirtilen son durumu gösterir Ticaret Sicil Gazetesi yada bu bilgilerin tamamının bir Ticaret Sicil Gazetesinde bulunmaması halinde bu bilgilerin tümünü göstermek üzere İlgili Ticaret Sicil Gazeteleri veya bu hususları gösteren belgeler ile Tüzel Kişiliğin noter tasdikli vekaletname ve imza sirküleri,
C) Ortak Olması Halinde
a) Ortaklığa ilişkin Beyanname(Noter tasdiki olacak)
b) Ortaklarca A veya B maddesinde belirtilen belgeleri ayrı ayrı ibraz edecektir.
D) Ortak Belgeler
a) Tebligat için adres beyannamesi (Telefon, varsa UETS, varsa faks numarası ve varsa posta adresi) ibraz edilecektir.
b) İstekliler adına vekaleten ihaleye iştirak edilmesi durumunda istekli adına teklifte bulunacak kimselerin vekaletnameleriyle birlikte vekalet eden ile edilene ait aslı veya noter tasdikli imza beyannamesi ibraz edilecektir.
c) %3(yüzde üç) Geçici teminatı yatırdığına dair makbuz veya teminat yerine geçecek değerler; banka teminat mektubu, devlet tahvilleri, hazine bonosu vs.(Teminat belgeleri İhale tarihinden itibaren 90 gün geçerli olacaktır.)
d) İhale dosya bedelinin 10.000,00 TL ödendiğine dair makbuz,
e) Mersin Büyükşehir Belediyesi Mali Hizmetler Daire Başkanlığından alınacak borcu yoktur belgesi,
f) İhaleye katılacak istekli İhale Şartnamesini ve sözleşme taslağının her sayfasını imzalamalıdır.
g) Vekalet Durumunda vekalet eden ile edilene ait Adli Sicil Kayıt Belgesi
4. Madde: TEKLİFLERİN VERİLMESİ
İstekliler posta ile gönderecekleri ya da elden teslim edecek Kapalı Teklif Zarflarını en geç ihale gününden 1(bir) gün önce, saat 17:00’ e kadar sıra numaralı alındı belgesi karşılığında Mersin Büyükşehir Belediyesi, Emlak İstimlak Dairesi Başkanlığı Emlak Yönetimi ve Tahsis Şube Müdürlüğüne (Akdeniz İlçesi, Mahmudiye Mahallesi Kuvayı milliye Caddesi Metropol İş Merkezi Kat:24 Akdeniz/MERSİN) vermeleri şarttır. Posta ve Elden verilecek kapalı teklif zarflarına Alındı numarası zarfın üzerine yazılır. Dış Zarfın üzerine Komisyon Başkanlığının
adresi ile hangi işe ait olduğu, isteklinin adı ve soyadı ile açık adresi yazılır. Belirtilen saatten sonra gelen teklifler ve postadaki gecikmeler değerlendirmeye alınmayacaktır. Komisyon başkanlığına verilen teklifler herhangi bir sebeple geri alınamaz.
5. Madde: İHALEYE KATILAMAYACAK OLANLAR
2886 sayılı Yasanın 6. maddesinde belirtilen kişiler bu ihaleye giremez. İdare ihaleyi yapıp yapmamakta tamamen serbesttir.
6. Madde: TAŞINMAZ DURUMU
a) Satışa sunulan taşınmazlarda üçüncü şahıslara ait ağaç, yapı, yol, benzeri üst örtüler ile ruhsata tabi olmayan işgaller olabileceğinden, istekli bu ağaç, yapı, yol ve işgallere ilişkin üçüncü şahısların hak ve yükümlülükleri olabileceğini bilerek teklifte bulunacak ve bu hususta idareden herhangi bir hak ve talepte bulunmayacaktır.
b) Satışa çıkartılmış taşınmazlara ilişkin olarak satış ilanında yer alan tabloda 12. sıradaki taşınmaz üzerinde üçüncü şahıslara ait yapı bulunmaktadır.
c) İlanda yer alan tabloda 6 sıradaki taşınmaz üzerinde ise trafo bulunmaktadır.
d) Satışa çıkartılmış taşınmazlara ilişkin olarak satış ilanında yer alan tabloda 2, 3, 5, 7, 9, 11, 12 sıradaki taşınmazlar içerisinde kiracı bulunmaktadır. İhale üzerinde kalan istekli taşınmazın satın alınmasına yönelik yükümlülüklerini yerine getirmesi ve tapu devrini almasına müteakip, kiracıyla olan hukuki durumu ilgili mevzuatlar çerçevesinde kendi sorumluluğunda olacaktır. İdareden bu hususta herhangi bir hak ve talepte bulunmayacaktır.
e) İlanda belirtilen tabloda 2, 3, 9, 11, 13 sıra numaralı taşınmazların üzerinde yer alan mevcut yapılar ile birlikte tahmini muhammen bedeli belirlenmiştir.
f) Mevcut İmar Planı olan taşınmazlara Ortaklığa ilişkin olarak teklif verebilir.
İSTEKLİLERE İLANEN DUYURULUR.
TAŞINMAZLAR SATILACAKTIR
Adana İli Yüreğir Belediye Başkanlığından:
1-Mülkiyeti Belediyemize ait ve aşağıda belirtilen listede bulunan 17 adet taşınmaz ilanının 2886 sayılı Devlet İhale Kanunu’nun 35/a maddesine
göre Kapalı Teklif Usulü ile satışı yapılacaktır.

2-İhale Yüreğir İlçe Belediyesi Encümen salonunda yapılacaktır. (Yavuzlar Mahallesi 4071 Sokak No:4 Yüreğir/ ADANA)
3-Söz konusu taşınmazın ihalesine ilişkin şartname ve ekleri mesai saatleri içerisinde Belediyemiz Emlak ve İstimlak Müdürlüğünde görülebilecek ve temin edinilebilecektir.
4-Geçici teminat muhammen bedelin % 3’ü dür.
5- İsteklilerin ihaleye katılımında tanzim edilecek İhale Dosyasında aranacak belgeler şunlardır:
Gerçek Kişi olması halinde :
a) Teklif mektubu
b) Geçici teminat bedeli makbuzu veya teminat mektubu (Süresiz ve limit içi)
c) Şartname Alındı Makbuzu
ç) Yüreğir Belediyesine borcu olmadığına dair belge
d) Kanuni Tebligat Adresi - İkametgâh Belgesi (Nüfus Müdürlüğünden veya e-Devlet üzerinden)
e) Nüfus Kayıt Örneği (Nüfus Müdürlüğünden veya e-Devlet üzerinden)
f) Vekil ise Noter Tasdikli vekâletname ve İmza beyannamesi (vekaleten iştirak ediyorsa isteklinin adına teklif vermeye yetkili olduğuna noter tasdikli vekaletname)
g) Adli Sicil Belgesi
Tüzel Kişi olması halinde :
a) Teklif mektubu
b) Geçici teminat bedeli makbuzu veya teminat mektubu (Süresiz ve limit içi)
c) Şartname Alındı Makbuzu
ç) Yüreğir Belediyesine borcu olmadığına dair belge
d) Türkiye’de Tebligat adres beyanı ve ayrıca irtibat için Telefon ve faks numarası
e) Tüzel kişi adına teklif vermeye yetkili olduğuna dair yetkili organ kararı.
f) Noter tasdikli imza sirküleri
g) Vekil ise Noter tasdikli vekaletname ve imza beyannamesi
ğ)Tüzel kişi olması halinde, mevzuatı gereği tüzel kişiliğin siciline kayıtlı bulunduğu Ticaret ve / veya Sanayi veya Esnaf Odasından veya benzeri bir makamdan ihalenin yapılmış olduğu yıl içerisinde alınmış tüzel kişiliğin siciline kayıtlı olduğuna dair belge (Tescil Belgesi) ve kayıtlı olduğu Vergi Dairesi kaydı ve teklif vermeye yetkili olduğunu gösteren noter tasdikli belge ve imza sirküleri.
h) Yabancı istekliler için Türkiye'de gayrimenkul edinilmesine ilişkin kanuni şartları taşımak ve Türkiye'de tebligat adresi beyan etmek.
ı) Ortak katılım halinde Ortaklık Beyannamesi.
6- Taşınmazın ihalesine teklif verecekler; ihale zarflarını şartnamede belirtilen belgeler ile birlikte satış şartnamesinde belirtilen maddelere uygun olarak hazırlayarak ( Teklif mektubu, bir zarfa konulup kapatıldıktan sonra zarfın üzerine isteklinin adı, soyadı ve tebligata esas olarak göstereceği açık adresi yazılacaktır. Zarfın yapıştırılan yeri istekli tarafından imzalanır veya mühürlenir. Bu zarf geçici teminata ait alındı veya banka teminat mektubu ve istenilen diğer belgelerle birlikte ikinci bir zarfa konularak kapatılır. Dış zarfın üzerine isteklinin adı ve soyadı ile iletişim telefonu, açık adresi ve teklifin hangi işe ait olduğu yazılacaktır.
7- 12/02/2025 tarihine rastlayan Çarşamba günü saat 16/00’a kadar Yüreğir Belediyesi Encümenine (ihale komisyonu) verilmek üzere Yazı İşleri Müdürlüğüne sıra numaralı alındı belgesi karşılığında teslim edeceklerdir. Posta ile yapılacak teklifler dikkate alınmayacaktır
8- İhale kararının onayı; karar tarihinden itibaren 15 iş günü içerisinde İta Amiri tarafından onaylanacak ya da iptal edilecektir.
9-İhale kararının onayı ve ihaleyi alana tebliğinden itibaren 15 gün içerisinde ihale bedeli peşin olarak ödenir.
10- İhale ile ilgili olarak her türlü vergi, resim, harçları ve diğer giderleri ile satıma ilişkin olarak her türlü vergi, resim, harçlar, ipotek masrafları ve diğer giderleri ödemek alıcıya aittir.
11- Satışı yapılan taşınmazın; Tapu tescili, ihalenin kesinleşmesine müteakip ihale bedelinin tamamı Belediyemiz veznesine veya banka hesabına yatırılmasından sonra . tapu ferağ işlemi yapılacaktır. İdare taşınmaz üzerindeki takyidatları 1 (bir) yıl içerisinde kaldırmakla yükümlüdür.
12-Belediyemizce satışı yapılacak taşınmazın 3065 sayılı Katma Değer Vergisi Kanunu’nun 17. Maddesinin 4. Maddesi r bendine göre KDV. İstisnasına tabi olduğundan bu satışlardan KDV tahsilatı yapılmayacaktır.(Konut ve binalar hariçtir)
13-Tebliğ tarihinden itibaren 15 gün içerisinde taşınmaz ihale bedelinin peşin olarak ödenmediği takdirde ihale iptal edilerek geçici teminat gelir olarak kaydedilir.
14-Şartname ve eklerinde hüküm bulunmayan hallerde 2886 sayılı Devlet İhale Yasası hükümlerine göre işlem yapılacaktır. İhtilaf halinde Adana Mahkemeleri ve İcra Daireleri yetkilidir.
15-İdaremiz ihaleyi yapıp yapmamakta serbesttir.
16-Basılı evrak bedeli (şartname) 1.500,00. ₺ (Bin beşyüz Türk Lirası) dir.
İletişim : Yüreğir Belediyesi Emlak Ve İstimlak Müdürlüğü 0(322) 321 61 61 –Dahili (1103-1109-1122)
İlan olunur.
SGK 21 ilde 148 gayrimenkulü satışa çıkardı! 540 bin TL’ye de 330 milyon TL’ye de arsa var!
Uplife Kadıköy'de peşin ödemelerde yüzde 25 indirim! Teslimler için geri sayım başladı!
Ev almak isteyenlere bina güvenliği uyarısı: Hayat kurtarabilir!
