Ankara Altındağ'da satılık 34 arsa ihalesi 24 Mayıs'ta!
Ankara Altındağ Belediyesi, Doğantepe Mahallesi'ndeki 34 arsayı satıyor. İhale, 24 Mayıs Çarşamba günü yapılacak..
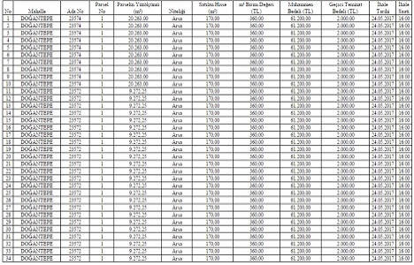
Ankara Altındağ Belediye Başkanlığı, Doğantepe Mahallesi'nde yer alan 34 arsasını satışa sunuyor. Arsalar için ihale, 24 Mayıs Çarşamba günü Samanpazarı Anafartalar Caddesi üzerinde No: 177’de bulunan Altındağ Belediye Sarayı Başkanlık Binasında toplanan ENCÜMEN huzurunda yapılacak.
TAŞINMAZLARDAKİ BELEDİYE HİSSELERİ SATILACAKTIR
Altındağ Belediye Başkanlığından:
Altındağ İlçesi sınırları içerisindeki; Doğantepe mahallesinde bulunan ve aşağıda, mahallesi, ada, parsel numarası belirtilen taşınmazlardaki Belediyemiz hisselerinin; 2886 sayılı Yasanın 45. maddesine göre Açık Teklif Usulü İhale suretiyle satışı yapılacak olup; hesaplanan diğer vergi ve harçlar ile tüm giderler peşin olarak tahsil edilecektir.
1 - İhale aşağıda belirtilen tarih ve saatlerde Samanpazarı Anafartalar Caddesi üzerinde No: 177’de bulunan Altındağ Belediye Sarayı Başkanlık Binasında toplanan ENCÜMEN huzurunda yapılacaktır.
2 - Bu ihaleye ait şartname, Altındağ Belediye Sarayı Zemin Katta bulunan Emlak ve İstimlak Müdürlüğünde görülebilir ve Geçici Teminat bedelleri en geç ihale günü saat 12:00’e kadar yatırılacaktır.
3 - İhaleye girebilmek için isteklilerden şu şartlar aranır.
İsteklinin gerçek kişi olması halinde; Türkiye Cumhuriyeti sınırları içerisinde kanuni ikametgahının olması, gerçek kişinin yabancı uyruklu olması halinde, Türkiye Cumhuriyeti sınırları içerisinde gayrimenkul iktisap edebileceğini gösterir Dışişleri Bakanlığı veya Tapu ve Kadastro Genel Müdürlüğünden alınmış belgeyi ibraz etmeleri, ihaleye ortak olarak girecek şahısların noterden onaylı ortaklık sözleşmelerinin ibrazı,
İsteklinin bir şirket olması halinde; İdare merkezinin bulunduğu yer mahkemesinden veya sicilinin kayıtlı olduğu Ticaret Odasından veya resmi bir kurumdan şirketin sicile kayıtlı ve halen faaliyette bulunduğuna dair ihalenin ilan tarihinden sonra alınmış bir belgeyi ibraz etmesi, şirketin sirkülerinin veya şirket adına tekliflerde bulunacak kimselerin bu şirketin vekili olduğunu gösterir noterden tasdikli vekaletnamelerinin ibrazı gerekmektedir.
İstekli Tüzel Kişi olması halinde; Tüzel kişiliği gerçek şahsın temsil etmesi halinde, temsil yetkisine haiz olduğunu gösterir bir belgenin ibrazı, tüzel kişiliği kanıtlayan bir belgenin verilmesi, temsil yetkisine sahip kimselerin noterden tasdikli imza sirküleri ibraz etmeleri gerekmektedir. İsteklinin yabancı uyruklu bir şirket olması halinde, Yabancı Uyruklu gerçek kişilerden aranan belge ile birlikte (Bu belgenin şirkete uygunluğu gerekmektedir.) Türkiye’de şirketin faaliyetine müsaade edildiğini gösteren ilgili resmi kurumdan alınan belgenin ibrazı,
İsteklinin bir dernek, federasyon, konfederasyon ve vakıf olması halinde; Dernek, federasyon, konfederasyon veya vakıf genel merkezinin bulunduğu yerde halen faaliyette bulunduğuna dair resmi mercilerden ihale ilanının yapıldığı tarihten sonra alınmış belgenin ibrazı, dernek, federasyon, konfederasyon veya vakıf genel kurulunca gayrimenkul alınması hususundaki genel kurul kararının tasdikli suretinin ibrazı, dernek, federasyon, konfederasyon veya vakfı temsile yetkili kılınanların noterden tasdikli imza sirkülerinin ibrazı gerekmektedir.
4 - Belediyemiz ihaleyi yapıp, yapmamakta serbesttir.
