Ankara Büyükşehir Belediyesi’nden satılık 38 arsa, konut ve dükkan!
Ankara Büyükşehir Belediye Başkanlığı, başkent Ankara’da yer alan 38 adet konut, arsa ve dükkanı satışa çıkardı. Gayrimenkullerin satış ihalelerinin 13 Kasım tarihinde yapılacağı belirtildi.
Ankara Büyükşehir Belediye Başkanlığı, başkent Ankara’da yer alan 38 adet konut, arsa ve dükkan için satış ihalesi düzenliyor. Satışa çıkarılan gayrimenkullerin yüz ölçümleri 70 metrekare ile 7 bin 136,37 metrekare arasında değişiyor.
Söz konusu gayrimenkullerin muhammen bedelleri 480 bin TL ile 102 milyon TL arasında farklılık gösterirken, geçici teminat bedelleri ise 14 bin 400 TL ile 3 milyon 60 bin TL arasında farklılık gösteriyor.
Satışa çıkarılan gayrimenkuller Altındağ, Akyurt, Çankaya, Etimesgut, Mamak, Pursaklar ve Çankaya’da yer alıyor.
Gayrimenkullerin satış ihalesi 13 Kasım 2025 tarihinde saat 14.00 ile 15.14 arasında Belediye Hizmet binasının B-Blok 1. katında bulunan encümen salonunda toplanacak Belediye encümenince yapılacak.

ANKARA'DA SATILIK 38 GAYRİMENKUL
TAŞINMAZLAR SATILACAKTIR
Ankara Büyükşehir Belediye Başkanlığından:
1- TARAFLAR;
İhale ‘‘İDARE’’(ANKARA BÜYÜKŞEHİR BELEDİYESİ) ve ‘‘İSTEKLİ’’ ihaleye katılan gerçek veya tüzel kişiyi ‘‘ALICI’’ ihaleyi alan gerçek veya tüzel kişiyi ifade eder.
2- İHALENİN KONUSU, İŞİN NİTELİĞİ, YERİ VE MİKTARI, TAHMİN EDİLEN BEDEL VE GEÇİCİ TEMİNAT BEDELİ,
Mülkiyeti Belediyemize ait aşağıdaki listede ilçesi, mahallesi, ada/parsel ve bağımsız bölüm numarası, kıymet takdir bedeli (muhammen bedeli), geçici teminatı yazılı taşınmazlar, 2886 sayılı Devlet İhale Kanunu’nun 36. maddesi gereğince kapalı teklif usulü ile satış bedeli, ihale karar pulu, sözleşme karar pulu, ilan giderleri ve diğer giderleri peşin ödenmesi şartıyla peşin perakende (tek tek / ayrı ayrı) mülkiyet satışı yapılacaktır.
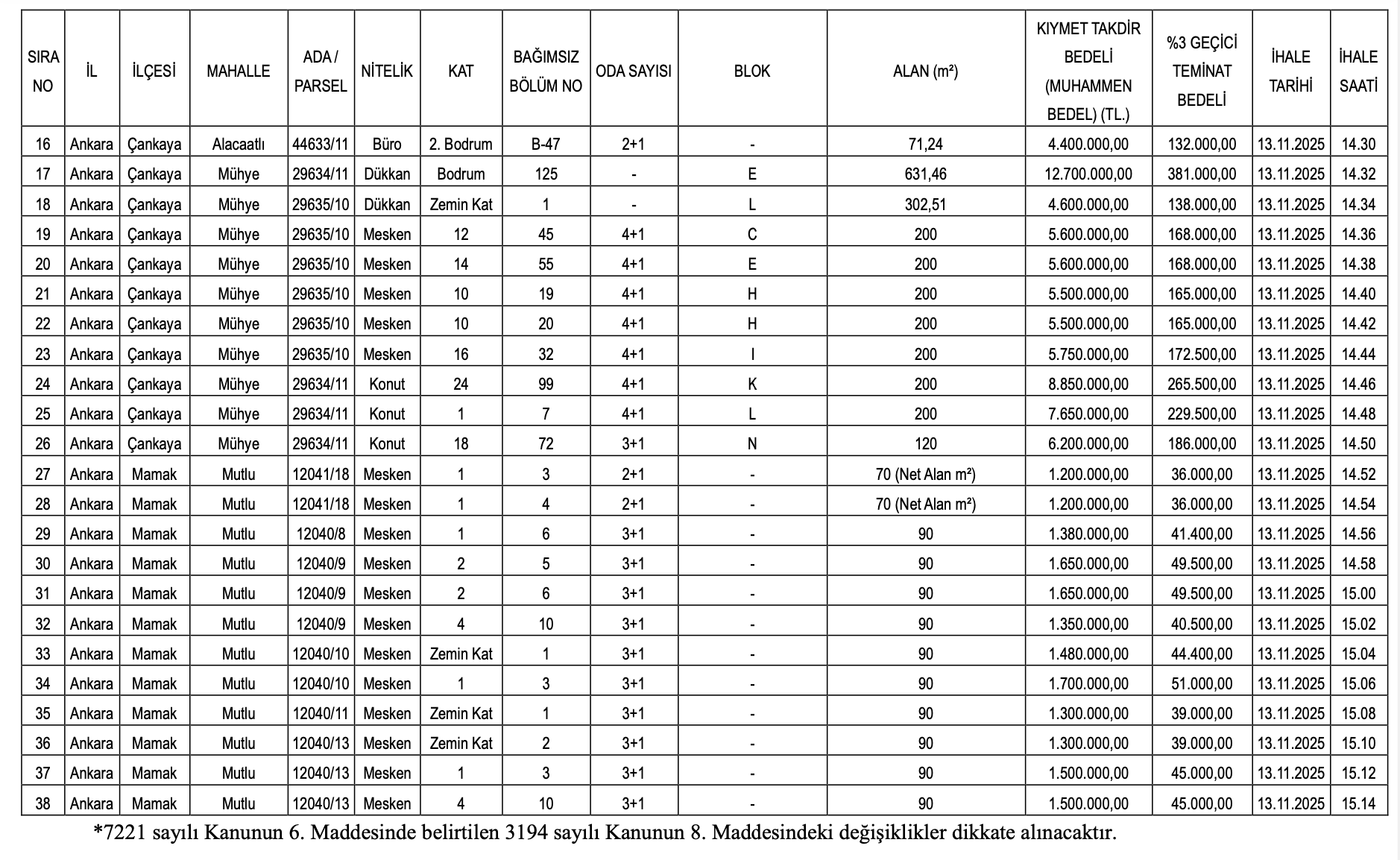
TAŞINMAZLARIN SATIŞ İLANI LİSTESİ


3- İHALE ŞARTNAME VE EKLERİNİN NEREDEN ve HANGİ ŞARTLARDA TEMİN EDİLECEĞİ
İhaleye katılmak isteyen istekliler, taşınmazın satış şartnamesini, en geç 13.11.2025 tarih Perşembe günü saat 11.00’e kadar Emniyet Mahallesi Hipodrom Caddesi No:5 Yenimahalle/Ankara adresindeki Ankara Büyükşehir Belediye Başkanlığı binasının 14.katında bulunan EMLAK ve İSTİMLAK DAİRESİ BAŞKANLIĞI Gayrimenkul Değerleme ve İhale Şube Müdürlüğü’nden ihale şartnamesi ve eklerini temin edebilir. Ayrıca; ihale ile ilgili bilgi ve
belgeler mesai saatleri içerisinde ihale günü ve saatine kadar yine Emniyet Mahallesi Hipodrom Caddesi No:5 Yenimahalle/Ankara adresindeki Ankara Büyükşehir Belediye Başkanlığı binasının 14. katında bulunan EMLAK ve İSTİMLAK DAİRESİ BAŞKANLIĞI Gayrimenkul Değerleme ve İhale Şube Müdürlüğü’nden görülebilir.
İhaleye iştirak edecek olanlar 2.000,00.-TL + K.D.V. (İki Bin Türk Lirası + Katma Değer Vergisi) karşılığında şartname almak zorundadırlar.
4- İHALENİN NEREDE HANGİ TARİH VE SAATTE VE HANGİ USULLE YAPILACAĞI;
İhale 13.11.2025 tarihinde Perşembe günü Hipodrom Caddesi No:5’deki Belediye Hizmet binasının B-Blok 1. katında bulunan ENCÜMEN salonunda toplanacak Belediye ENCÜMENİ'nce yapılacaktır. 2886 sayılı Devlet İhale Kanunu’nun 36. maddesi gereğince kapalı teklif usulü ile yapılacaktır.
5- İSTEKLİLERDEN ARANILAN BELGELER;
İstekliler, Şartnamenin 2.Maddesinde yazılı ‘‘İhaleye girebilmek için isteklilerde aranan şartları’’sağlamak zorundadır. Şartnameye uygun olmayan veya içinde şartname hükümleri dışında şartlar ihtiva eden teklifler geçersiz sayılacaktır. Buna göre isteklilerde aranacak bilgi ve belgeler;
İÇ ZARF;
İmzalı Teklif Mektubu (Teklif Mektubu, ihaleye iştirak edecek gerçek ve tüzel kişilerce veya kanuni vekillerince imzalanacak ve bu teklifte şartname ve eklerinin aynen kabul edildiği belirtilecektir. Teklifler hem rakamla hem de yazıyla açık olarak yazılacaktır. Bunlardan herhangi birine uygun olmayan veya üzerinde kazıntı, silinti ve düzeltme bulunan teklifler reddedilerek ihaleye girilmemiş sayılacaktır.) Teklif mektubu bir zarf (iç zarf) içerisine konulup kapatıldıktan sonra zarf üzerine isteklinin adı, soyadı ve tebligata esas olan açık adresi yazılacaktır. Zarfın yapıştırılan yeri istekli tarafından imzalanacak ve mühürlenecektir.
DIŞ ZARF;
a-İmzalı Teklif Mektubu,
b-İmzalı Taşınmaz Mal Satış Şartnamesi (Aslı),
c-Şartname Alındı Makbuzu (Aslı)
d-İhalelere katılmaya yasaklı olunmadığına dair belge
e-İmzalı Yer Görme Belgesi (İdare tarafından mühürlü verilecektir.)
f-Geçici Teminat Alındı Makbuzu Aslı veya 2886 sayılı Kanuna uygun Banka Teminat Mektubu (Geçici, Süresiz, Limit içi olması gerekir) veya 2886 sayılı Kanunun 26. Maddesinde geçen değerler,
g- İsteklilerin gerçek kişi olmaları halinde; nüfus kayıt örneği veya kimlik fotokopisi, ikametgah belgesi (Aslı), istekliyi şahıs temsil etmesi halinde “vekil” olduğunu gösterir noter tasdikli vekaletname, kimlik belgesi,
h-İsteklilerin tüzel kişi olmaları halinde; İdare Merkezinin bulunduğu yer Mahkemesinden veya sicilin kayıtlı olduğu Ticaret Odasından alınan faaliyet belgesi, ticaret sicil gazetesi, şirket yetkilisi imza sirküsü veya şirketin “vekili” olduğunu gösterir noter tasdikli vekaletname, vekalet ile temsil yetkisi alan temsilcinin noterden tasdikli imza beyannamesi, kimlik belgesi, tüzel kişiliğin birden fazla ortak olması halinde; noter onaylı yetki belgesi
(İhaleye katılma, artırımda bulunma, teklif verme vb. yazılması gereklidir.),
ı- İsteklilerin ortak girişim olması halinde; noter tasdikli Ortak Girişim Beyannamesi, noter tasdikli imza Sirküleri (Aslı), kimlik belgesi, Ticaret odası belgeleri ve/veya Sanayi Odası Belgeleri veya Esnaf ve Sanatkarlar Sicil Kayıt Belgeleri ve Halan faaliyette bulunduğuna dair belge, Ticari Sicil Gazeteleri,
i-İsteklilerin dernek, federasyon, konfederasyon, kooperatif veya vakıf olması halinde; resmi makamdan alınmış faaliyet belgesi, gayrimenkul alınması hususunda alınan noter onaylı Genel Kurul kararı, noter tasdikli temsilci yetkisi, temsilcinin noter tasdikli imza beyannamesi, kimlik belgesi,
6- TEKLİFLERİN HANGİ TARİH ve SAATE KADAR TESLİM EDİLMESİ ve DİĞER HUSUSLAR;
Teklif mektuplarının en geç 13.11.2025 tarihinde Perşembe günü saat 12.00’ye kadar, kadar ihalenin yapılacağı adreste bulunan ENCÜMEN Başkanlığına (7.Katta bulunan Yazı işleri ve Kararlar Dairesi Başkanlığına) verilmesi şarttır. Bu saatten sonra verilecek teklif mektupları veya herhangi bir nedenle oluşacak gecikmeler dikkate alınmaz.
İhale için verilen teklif mektupları verildikten sonra geri alınamaz.
7-DİĞER HUSUSLAR;
Satış şartnamesinde belirtilen hususlarla taşınmaza ait dosyasındaki bilgileri ve tapudaki takyidatları alıcı aynen kabul etmiş sayılır. İhalenin kesinleşmesinden sonra ihale uhdesinde kalanlar, satış şartnamesine aykırı bir talepte bulunamazlar.
Satıştan mütevellit bütün vergi, resmi harç, ilan giderleri, tapu harçları, alım satım giderleri gibi ödenmesi gereken her türlü giderler alıcıya ait olup, alıcı tarafından kanuni süresinde ödenecektir.
İhale Komisyonu (ENCÜMEN) gerekçesini karar içeriğinde belirtmek koşulu ile ihaleyi yapıp yapmamakta serbesttir. ENCÜMEN’ce uygun görülerek karara bağlanan ihale kararı ise; İta Amiri’nin Onay’ını takiben geçerlilik kazanacağı gibi, İta Amiri’nin ihaleyi onaylamaması halinde, iştirakçi idareye karşı herhangi bir hak iddiasında bulunamaz.
İş bu ihale ilanı genel bilgi mahiyetinde olup, satışta ihale şartnamesi hükümleri uygulanacaktır.
Ankara Büyükşehir Belediyesi İnternet Adresi www.ankara.bel.tr.
