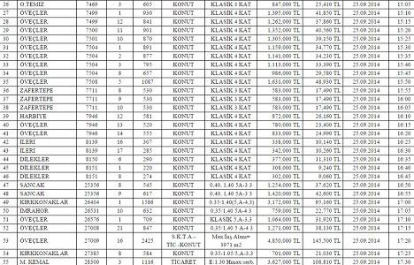
Ankara Çankaya'da 61 milyon TL'ye satılık 55 adet konut!
Çankaya Belediyesi, Harbiye, Cebeci, E.Gazi, Aydınlar, Aşıkpaşa, O.Temiz, Metin Akkuş, İlkadım, Öveçler, Zafertepe, İleri, Dilekler, Sancak, Kırkkonaklar, İmrahor, Mustafa Kemal Mahallerinde yer alan 55 konutu toplam 60 milyon 999 bin TL bedelle 25 Eylül'
İHALE
Çankaya Belediye Başkanlığından:
1 - Mülkiyeti Belediyemize ait aşağıda ada, parsel numarası, alanı, imar durumu, muhammen bedeli, geçici teminatı, ihale günü, ve ihale saati yazılı arsalar 2886 Sayılı Yasanın 36. Maddesi uyarınca kapalı teklif usulü (artırma) yoluyla satılacaktır.


2 - İhale 25.09.2014 günü ilanda belirtilen saatte Belediye Başkanlığımızın Ziya Gökalp Caddesi No:11 B2 Blok 9.kat adresindeki Çankaya Belediyesi Encümen Salonunda yapılacaktır.
3 - İhale ile ilgili şartname, çalışma saatleri içerisinde Ziya Gökalp Cad. No:11 A1 Blok 6.kat Kızılay/Ankara adresindeki Belediyemiz Emlak ve İstimlak Müdürlüğünden 100,00 TL (yüz lira) karşılığında temin edilebilir.
4 - İhaleye girecek kişilerin;
Kanuni ikametgah sahibi olmaları ve ikametgah belgesini; isteklilerin bir tüzel kişi olması halinde; Şirketse Ticaret Odasına kayıt belgesi ile Şirket imza sirkülerini; Dernek veya Vakıfsa taşınmaz mal satın alma yetkisini gösterir genel kurul kararı ile teklifte bulunacak kişilerin yetki belgesinin noter onaylı suretini; Ortak girişim olarak gireceklerin noter tasdikli ortak girişim beyannamesi, ortaklık sözleşmesi ile ortak girişimi oluşturanların imza sirkülerini, geçici teminata ait makbuzu (geçici teminat banka teminat mektubu olması halinde, Banka mektubu limit içi ve süresiz olması gerekmektedir.) İhale dosyasının idareden satın alındığına dair dosya alındı makbuzunun aslını; İhale konusu taşınmazın yerinde görüldüğüne dair Emlak ve İstimlâk Müdürlüğünden alınacak yer görme belgesini; sözleşme ve şartnameleri okuyup kabul ettiğine dair taahhüt belgesini; dış zarfa koymaları, Teklif mektubunu şartname ekinde bulunan örnek mektuba uygun olarak doldurmaları ve tekliflerinde ada, parsel numarasını ve teklif edilen bedeli açık ve kesin olarak yazmaları ihaleye iştirak eden tarafından imzalanarak iç zarfa koymaları gerekmektedir.
5 - Tekliflerin 25.09.2014 günü, saat 12.00’ye kadar ihalenin yapılacağı Encümen Başkanlığına (Ziya Gökalp Caddesi No:11 B1 Blok 8.kat adresinde bulunan Yazı İşleri ve Kararlar Müdürlüğü ) teslim edilmesi gerekmektedir.
6 - İhaleye posta ile katılmak mümkündür, ihaleye posta ile iştirak edeceklerin Şartname hükümlerine uygun olarak düzenleyecekleri tekliflerini ihale günü saat 12.00’ ye kadar Belediye Başkanlığımızın Ziya Gökalp Caddesi No:11 B1 Blok 8.kat Kızılay/ANKARA adresine, iadeli taahhütlü posta vasıtasıyla gönderebilecektir. Teklifler; teklif edilen değer ihaleye iştirak edenin son teklifi olarak değerlendirilecektir. Postada meydana gelecek gecikmeler dikkate alınmayacaktır.
7 - Belediyemizce satışı yapılacak ilanda belirtilen gayrimenkuller, 3065 Sayılı KDV Kanununun 17. Maddesinin 4. Fıkrasının (r) bendine göre KDV istinasına tabi olduğundan, bu satışlardan KDV tahsilatı yapılmayacaktır.
8 - Telefon : 0 312 458 89 00 / 2240 -2241 -2244 Fax : 0 312 433 80 47
9 - İdare İhaleyi yapıp yapmamakta serbesttir.
İlan olunur.
8066/1-1