Antalya ve bir şehirde daha 23 konut, 13 iş yeri satılacak!
Antalya ve Van'da yer alan 23 konut ile 13 iş yeri satışa çıkarıldı. Gayrimenkullerin satış ihaleleri 8 Şubat tarihinde gerçekleştirilecek.
Antalya ve Van'da yer alan 23 konut ile 13 iş yeri için satış ihalesi düzenleniyor.
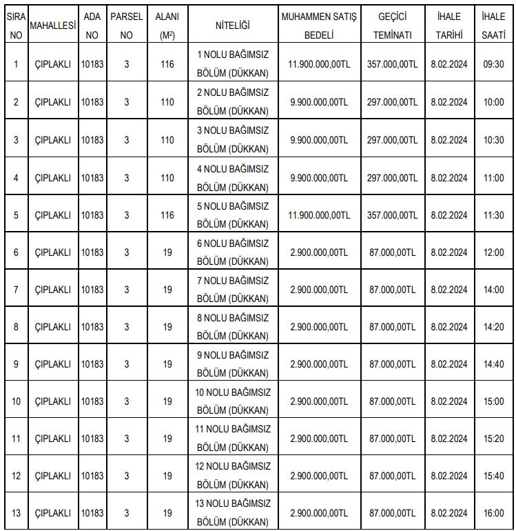
Döşemealtı Belediye Başkanlığı tarafından satışa çıkarılan iş yerlerinin muhammen bedelleri 2 milyon 900 bin TL ile 11 milyon 900 bin TL arasında değişirken, geçici teminat bedelleri de 87 bin TL ile 357 bin TL arasında değişiyor.
Tuşba Belediyesi tarafından satışa çıkarılan konutların ise muhammen bedelleri 1 milyon 900 bin TL ile 2 milyon 750 bin TL arasında değişirken geçici teminat bedelleri de 57 bin TL ile 82 bin 500 TL arasında değişiyor.
Yatırımcılar tarafından da merakla beklenen satış ihalesi 8 Şubat tarihinde gerçekleştirilecek.
TAŞINMAZLAR SATILACAKTIR
Antalya İli Döşemealtı Belediye Başkanlığından:

1- Yukarıdaki listede bulunan Mülkiyeti Döşemealtı Belediyesine ait taşınmazların
mevcut haliyle 2886 sayılı Devlet İhale Kanunu’nun 45.maddesine göre açık teklif usulü ile
belirtilen tarihte Belediye toplantı Salonunda toplanacak komisyon tarafından SATIŞ ihalesi
yapılacaktır.
2- İhaleye İştirak etmek isteyenler;
a) Satın almak istedikleri taşınmazın, yukarıda belirtilen geçici teminatını Belediye
veznesine yatırılacaktır.
b) Özel kişilerin; Nüfus Cüzdanı Fotokopisi ve aslı İkametgah senedi (yerleşim yeri
belgesi),
c) Tüzel kişiler adına ihaleye gireceklerin; güncel tasdikli yetki belgesini, imza
sirkülerini, tüzel kişiliğe ait güncel alınmış ticaret ve sanayi odası belgesini,
ç) Vekaleten ihaleye gireceklerin güncel noter tasdikli vekaletname örneğini ve imza
sirkülerini ihale saatine kadar Belediye İhale Birimine vermeleri zorunludur.
d) Ortak olarak ihaleye katılmak isteyenlerin Noterden yaptıracakları ortaklık sözleşmesi,
ikamet belgesi ile kimliklerini getirmeleri ayrıca ortakların tümünün şartnameyi imzalaması
mecburidir.
3- Katılımcılar İhale saatinden önce Geçici teminat makbuzu ve istenen evraklar ile
birlikte Emlak ve İstimlak Müdürlüğüne gelerek şartname imzalayacak ve ihaleye katılım dosyası
düzenletecektir. Dosya düzenletmeyenler ihaleye alınmayacaktır.
4- İhale günü yer görme işlemi olmayacağından Katılımcıların satılık Dükkanları görüp
karar verdikten sonra ihaleye katılmaları yararlarına olacaktır.
5- İhalede satın alınan tutar üzerinden Binde 5,69 oranında İhale Karar Pulu Bedeli
alınacaktır. Tapu harcı ve yevmiyesi masrafları satın alınan tutar üzerinden alınacak olup, bu
tutarlar alıcıya aittir.
6- Posta ile yapılacak müracaatlardan doğacak gecikmeden dolayı itiraz kabul olunmaz.
7- İhaleye sadece T.C. Vatandaşları katılabilecektir.
8- Belediyemiz ihaleyi yapıp yapmamakta serbesttir.
9- İhaleye Katılacakların ihale günü olumsuzluk yaşamaması adına en az bir gün önceden
evraklarını Emlak ve İstimlak Müdürlüğüne Kontrol ettirmeleri ve İhale Şartnamesini
incelemeleri gerekmektedir.
10- İhale şartnamesi Emlak ve İstimlak Müdürlüğünden mesai saatleri içerisinde ücretsiz
olarak görülebilir.
11- Taşınmazların üzerinde Antalya Genel icra Dairesinin icrai hacizleri vardır. Alıcı
tarafından ödeme yapılmasına müteakip tapu devri yapılacak bu ve gelebilecek benzeri haciz ve
şerhler tapu devrinden sonra kaldırılacaktır. Taşınmazın Mevcut durumu yukarıda belirtilmiş,
diğer hususlar ihale şartnamesindedir.
İrtibat: 0242 421 30 53 (1230 -1251 veya 1244 dahili)
İLAN OLUNUR

MESKEN NİTELİKLİ TAŞINMAZLAR SATILACAKTIR
Van İli Tuşba Belediye Başkanlığından:
1- Mülkiyeti Belediyemize ait Tuşba ilçesi, Abdurrahman Gazi Mahallesi, imarın 4161 ada 8 parsel üzerindeki C ve D-Blok’ta bulunan (23 Adet)
Daire bağımsız bölüm numarası, takdir edilen (muhammen) bedeli geçici teminatı yazılı taşınmazlar, 2886 sayılı Kanununun 35/a. maddesi gereğince Kapalı
Zarf usulü ile satış bedeli, ihale karar pulu, sözleşme karar pulu, ilan giderleri ve diğer giderleri peşin ödenmesi şartıyla (Dairelerin satışı peşin veya %50
peşin geriye kalan %50'si ise 12 aylık taksit vade farkı şeklinde satışı yapılacak olup) perakende (tek tek) mülkiyet satışı yapılacaktır. İhale 08/02/2024
tarihleri arasında saat: 09:30 da başlamak üzere Erciş yolu Caddesi No: 35A daki Belediye Hizmet binasında bulunan ENCÜMEN salonunda toplanacak
Belediye ENCÜMENİ’nce yapılacak.


1- 23 adet kat irtifaklı dairenin taşınmaz mal satışı peşin ödeme veya %50 peşin geriye kalan ödeme vade farkı (Yasal Faiz) uygulanarak 12 ay taksit
ile satışı yapılacaktır. Gerekli bilgiler Teknik Şartnamede belirtilmiştir.
2- İhale Tuşba Belediye Encümen Salonunda 08/02/2024 tarihinde Perşembe günü saat 09:30’da Tuşba Belediye Encümenince yapılacaktır.
3- 23 adet kat irtifaklı dairenin taşınmaz mal satış ihale şartnamesi Tuşba Belediyesi Hizmet Binası, Abdurrahman Gazi Mahallesi, Erciş bulvarı
Caddesi, No: 35 Tuşba/VAN adresindeki, Tuşba Belediyesi Emlak ve İstimlak Müdürlüğü’nden 100,00 TL (yüz TL) ücret karşılığında şartname alınabilir.
4- İhaleye Katılabilme Şartları:
İhaleye katılacak istekliler teklif dosyası ile beraber aşağıda yazılı belgeleri usulüne uygun olarak hazırlayarak en geç 08/02/2024 tarihindeki ihale
için 07/02/2024 Çarşamba günü saat 16:30 a kadar Tuşba Belediyesi, Emlak ve İstimlak Müdürlüğü’ne teslim etmek mecburiyetindedirler.
A)Tüzel kişi olması halinde:
a) Adres Beyanı: Türkiye'de tebligat için adres beyanı (e-Devleten çıkarılabilir)
b) İkametgâh Belgesi: Kanuni ikametgâh sahibi olduğunu gösteren belge (e-Devleten çıkarılabilir)
c) Ticaret ve Sanayi Odası Belgesi
d) İmza Sirküleri (Noter onaylı )
e) Teklif Mektubu: (2886 sayılı Yasanın 37. maddesine uygun)
f) Geçici Teminat: (2886 sayılı Yasaya uygun, İstekliler söz konusu gayrimenkulün ihalesine katılabilmek için Talip oldukları dairenin %3 'ün tutarı
kadar geçici teminat veya banka teminat mektubu vereceklerdir.) Ödeme koşulları Teknik Şartnamede belirtilmiştir
g) Vekâletname ve imza sirküleri: İstekliler adına vekâleten iştirak ediliyor ise istekli adına teklifte bulunacak kimselerin noter tasdikli vekâletname
ile vekâleten katılanın noter tasdikli imza sirküleri.
h) Ortak Girişim Beyannamesi ile Ortaklık Sözleşmesi: Ortak girişim olması halinde Noter tasdikli Ortak Girişim Beyannamesi ile Ortaklık
Sözleşmesi (ihale üzerine kaldığında noter tasdiki yapılacaktır).
Ortak girişimi oluşturan gerçek kişi veya tüzel kişilerin her birinin (c) ve (d) fıkralarına göre temin edecekleri belgeler.
ı) Tüzel kişi olması halinde, ilgisine göre tüzel kişiliğin ortakları, üyeleri veya kurucuları ile tüzel kişiliğin yönetimindeki görevlileri belirten son
durumu gösterir Ticaret Sicil Gazetesi veya bu hususları tevsik eden belgeler ile tüzel kişiliğin noter tasdikli imza sirküleri,
i) Yer Görme Belgesi (İdareden alınacak)
j) Şartname Alındı Makbuzu (Aslı) (İdareden alınacak)
k) Taşınmaz Mal Satış Şartnamesi (İmzalı) (İdareden alınacak)
l) İhalelere katılmaya yasaklı olmadığına dair yazılı beyan (İdareden alınacak)
m) Tuşba Belediyesine borcu olmadığına dair yazı (İdareden alınacak)
n) Yabancı uyruklu olması halinde 2644 sayılı yasaya göre mülk edinmesinde engel veya kısıtlı olmadığına dair beyanname
B) Gerçek kişi olması halinde:
a) Adres Beyanı: Türkiye'de tebligat için adres beyanı (e-Devletten çıkarılabilir)
b) İkametgâh Belgesi: Kanuni ikametgâh sahibi olduğunu gösteren belge (e-Devletten çıkarılabilir)
c) Noter tasdikli imza sirküleri/ beyannamesi
d) Kimlik fotokopisi
e) Teklif Mektubu: (2886 sayılı Yasanın 37. maddesine uygun)
f) Geçici Teminat: (2886 sayılı Yasaya uygun, İstekliler söz konusu gayrimenkulün ihalesine katılabilmek için Talip oldukları dairenin %3 'ün tutarı
kadar geçici teminat veya banka teminat mektubu vereceklerdir.) Ödeme koşulları Teknik Şartnamede belirtilmiştir.
g) Vekâletname ve imza sirküleri: İstekliler adına vekâleten iştirak ediliyor ise istekli adına teklifte bulunacak kimselerin noter tasdikli vekâletname
ile vekâleten katılanın noter tasdikli imza sirküleri.
h) Yer Görme Belgesi (İdareden alınacak)
ı) Şartname Alındı Makbuzu (Aslı) (İdareden alınacak)
i) Taşınmaz Mal Satış Şartnamesi (İmzalı) (İdareden alınacak)
j) Ortak Girişim Beyannamesi ile Ortaklık Sözleşmesi: Ortak girişim olması halinde Noter tasdikli Ortak Girişim Beyannamesi ile Ortaklık
Sözleşmesi (ihale üzerine kaldığında noter tasdiki yapılacaktır).
k) İhalelere katılmaya yasaklı olmadığına dair yazılı beyan (İdareden alınacak)
Yabancı uyruklu olması halinde 2644 sayılı yasaya göre mülk edinmesinde engel veya kısıtlı olmadığına dair beyanname
l) Tuşba Belediyesine borcu olmadığına dair yazı (Mali Hizmetler Müdürlüğünden alınacak)
Vekaletten katılımlarda ek olarak;
-Noter Tasdikli Vekâletnamenin (Aslı)
-Vekilin Nüfus Cüzdanı (Fotokopisi)
-Vekilin Noter Onaylı İmza Sirküsü veya İmza Beyannamesi
5- İhale ile ilgili olarak her türlü vergi, resim, harçlar, ipotek masrafları ve diğer giderleri ödemek istekliye aittir.
6- İsteklilerin, yukarıda belirtilen belgelerle birlikte şartnamede belirtildiği şekilde hazırlayacakları teklif mektuplarını içeren kapalı zarflarını en geç
08/02/2024 tarihindeki ihale için 07/02/2024 Çarşamba günü saat 16:30 a kadar Tuşba Belediyesi Hizmet Binası, Abdurrahman Gazi Mahallesi, Erciş
bulvarı Caddesi, No: 35 Tuşba/VAN adresindeki, Tuşba Belediyesi Emlak ve İstimlak Müdürlüğü’ne sıra numaralı alındı karşılığında verilebileceği gibi,
iadeli taahhütlü posta vasıtasıyla da gönderilebilir. Posta ile gönderilecek tekliflerin ilanda belirtilen saate kadar komisyon başkanlığına ulaşması şarttır.
Postada olacak gecikmeler kabul edilmez. Postadaki gecikme sebebiyle değerlendirmeye alınmayacak tekliflerin alınış zamanı bir tutanakla tespit edilir.
Komisyon başkanlığına verilen teklifler herhangi bir nedenle geri alınamaz.
7- Türkiye Radyo ve Televizyon (TRT) İdaresinin saat ayarı esastır.
8- İhale komisyonu (Belediye Encümeni), gerekçesini kararda belirtmek suretiyle ihalesini yapıp yapmamakla serbesttir. Komisyonun ihaleyi
yapmama kararına itiraz edilemez.
İlan olunur.
Kiracılar müjde! Kira yardımları resmen başladı!
Ev sahibini şikayet eden kiracıya iftira suçundan 10 ay hapis!