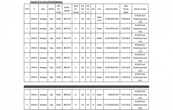
Antalya'da 80.1 milyon TL'ye satılık 9 gayrimenkul!
İstanbul Üniversitesi Rektörlüğü, Antalya Muratpaşa'da yer alan 9 adet gayrimenkulü 80 milyon 53 bin TL bedelle satışa çıkardı.
İstanbul Üniversitesi Rektörlüğü, Antalya Muratpaşa'da yer alan 9 adet gayrimenkulü satışa çıkardı Gayrimenkullerin toplam satış bedeli 80 milyon 53 bin TL olarak belirlendi.

Yukarıda nitelikleri belirtilen İstanbul Üniversitesi Rektörlüğü adına kayıtlı taşınmaz mal 2886 sayılı Devlet İhale Kanunun 36. maddesine göre "Kapalı Teklif Usulü" ile gösterilen gün ve saatte her bağımsız bölüm ayrı ayrı peşin bedelle satışa çıkarılmıştır. Peşin bedelle satışa çıkarılan taşınmaz malın her bir bağımsız bölümü Antalya İli Muratpaşa İlçesi Demircikara Mahallesinde bulunan İstanbul Üniversitesi Antalya Konukevi İhale Salonunda yapılacak ihaleler ile satılacaktır. İhaleye iştirak edecek isteklilerin ihale şartnamesini 2.500,00-TL bedel karşılığında 22.06.2021 tarih Salı günü mesai bitimine kadar İstanbul Üniversitesi Rektörlüğü İdari ve Mali İşler Daire Başkanlığı Taşınmazlar Bürosundan, 23.06.2021 tarih Çarşamba günü mesai saati bitimine kadar İstanbul
Üniversitesi Antalya Konuk Evinden temin edebilirler.
Üniversitemizce yapılacak ihaleye katılacak olan isteklilerin aşağıdaki belgeleri asıl olarak sunmaları gerekmektedir.
1-İHALEYE KATILMA ŞARTLARI
A-İSTEKLİNİN GERÇEK KİŞİ OLMASI HALİNDE
a) Nüfus cüzdan sureti veya aslı ihale esnasında gösterilmek üzere nüfus cüzdanı fotokopisi (T.C. Kimlik numarasını içeren)
b) Türkiye sınırları içerisinde Kanuni İkametgâh Belgesi veya Yerleşim Yeri Belgesi (Nüfus Müdürlüğünden veya Muhtardan alınmış)
c) Noter tasdikli imza beyannamesi
ç) Vekâleten ihaleye katılma halinde; vekil adına düzenlenmiş, ihaleye katılmaya ilişkin noter onaylı vekâletname ve vekâlet edene ait imza beyannamesi,
d) % 3 oranında geçici teminatı ödemiş olmak ve ödendiğine dair dekont veya banka teminat mektubu (süresiz ve limit içi olarak düzenlenecek, işin niteliği belirtilecek, banka teyit yazısı ile birlikte getirilecek)
e) İhaleye katılacakların nakit olarak yatırmak istedikleri geçici teminat bedellerini İstanbul Üniversitesi Strateji Geliştirme Daire Başkanlığı veznesine veya adı geçen Daire Başkanlığının Türkiye Halk Bankası A.Ş. Beyazıt Şubesi nezdinde bulunan TR **********************66 nolu hesabına
EFT∕HAVALE suretiyle temin edebilirler. 
f) Satış Şartnamesi satın alındığına dair dekont aslı
g) İhaleye iştirak edecek tarafından her sayfası imzalanmış şartname
ğ) Taşınmaz mal satış şartnamesinde şekli ve içeriği belirlenen teklif mektubu
B-İSTEKLİNİN TÜZEL KİŞİ OLMASI HALİNDE,
a) Özel Hukuk Tüzel kişilerinin, İdare merkezlerinin bulunduğu yer mahkemesinden veya siciline kayıtlı bulunduğu Ticaret veya Sanayi Odasından yahut benzeri meslek kuruluşundan, ihalenin yapıldığı yıl içinde alınmış, sicil kayıt belgesi
b) Tüzel kişilik adına ihaleye katılacak veya teklifte bulunacak kişilerin tüzel kişiliği temsilen tam yetkili olduklarını gösterir noterlikçe tasdik edilmiş imza sirküleri veya vekâletname
c) Temsilcinin kimlik fotokopisi, vergi kimlik numarasını gösterir belge
ç) Kamu tüzel kişilerinin ise; Tüzel kişilik adına ihaleye katılacak veya teklifte bulunacak kişilerin tüzel kişiliği temsile yetkili olduğunu belirtir belge
d) Tüzel kişi olması halinde; ihalenin yapıldığı yıl içerisinde; (2021 yılı) ilgilisine göre tüzel kişiliğin ortakları, üyeleri veya kurucuları ile tüzel kişiliğin yönetimindeki görevlileri belirten son durumu gösterir Ticaret Sicil Gazetesi (Faaliyet Belgesi)
e) Vekâleten ihaleye katılımlarda istekli adına ihaleye katılabileceğine dair noter onaylı vekâletname
f) % 3 oranında geçici teminatı ödemiş olmak ve ödendiğine dair dekont veya banka teminat mektubu (süresiz ve limit içi olarak düzenlenecek, işin niteliği belirtilecek, banka teyit yazısı ile birlikte getirilecek)
g) İhaleye katılacakların nakit olarak yatırmak istedikleri geçici teminat bedellerini İstanbul Üniversitesi Strateji Geliştirme Daire Başkanlığı veznesine veya adı geçen Daire Başkanlığının Türkiye Halk Bankası A.Ş. Beyazıt Şubesi nezdinde bulunan TR **********************66 nolu hesabına EFT∕HAVALE suretiyle temin edebilirler.
h) Satış Şartnamesi satın alındığına dair dekont aslı
ı)Taşınmaz mal satış şartnamesinde şekli ve içeriği belirlenen teklif mektubu
i) İhaleye iştirak edecek tarafından her sayfası imzalanmış şartname
2-İlan ve şartnamede hüküm bulunmayan hususlar için 2886 sayılı Devlet İhale Kanunu hükümleri, kıyasen Hazine Taşınmazları İdaresi Hakkında Yönetmelik hükümleri aynen uygulanır.
3-Taşınmazların fiili ve imar durumu ile tapu kayıtlarındaki şerhler ve bedel takdirine ilişkin hususlar hakkında İdareye karşı herhangi bir tazminat
talebinde bulunulmayacaktır.
4-İdarece, isteklilerin veya yabancı uyruklu gerçek kişi isteklilerin, kendileri veya temsile yetkili vekillerince şartname bedeli yatırılarak teslim aldıkları ihale şartnamesi, ihale konusu taşınmazın satın alma talebine ilişkin olarak değerlendirilir. Belirlenen kişilerin dışında ihale şartnamesinin alındığının tespiti halinde istekli ihale dışı bırakılır.
İdarece, isteklilerin veya yabancı uyruklu gerçek kişi istekilerin, taşınmazların satış ihalesine katılımı halinde, isteklilerin Tapu Kanunu ve diğer sınırlamalar getiren kanunlar ile ilgili mevzuatlar çerçevesinde ve kanunen aranan şartlara uygun oldukları kabul edilir.
Yukarıdaki hususlara, İdarece veya diğer kamu kurum ve kuruluşlarının yürütülecek işlemlerinde, Taşınmazın teslim işlemleri dahil, yasal olarak aykırılığın veya imkansızlığın tespiti halinde, istekliler bundan dolayı idareden hiçbir hak veya alacak talebinde bulunamazlar.
5-Pey aralığı 100.000,00-TL'dir.
6-İhalenin yapıldığı yıl içerisinde (2021 yılı) alınmak kaydıyla ihaleye girmek isteyen gerçek kişiler ile tüzel kişiliği oluşturan tüm ortaklar dahil ve vekaleten ihaleye teklif verecek olan yetkilinin Adli Sicil Kaydı olmadığına dair belge, adli sicili bulunan istekliler ihale dışı bırakılır.
7-2886 sayılı Devlet İhale Kanununun 31. maddesine göre onaylanan ihale kararının tebliğ tarihinden itibaren onbeş gün içinde müşteri ihale bedelini peşin ödeyecektir.
8-İhaleye iştirak edeceklerin, 2886 sayılı Kanunun 37. maddesine göre hazırlanan teklif zarflarını İstanbul Üniversitesi Antalya Konuk Evinin bulunduğu Demircikara Mahallesi Muratpaşa∕ANTALYA adresinde toplanacak olan ihale komisyonu Başkanlığına teslim etmeleri gerekmektedir.
9-Satışa konu taşınmazlar mesai saati içerisinde Saral Gayrimenkul Danışmanlığı Ertuğrul SARAL ile irtibata geçilerek bulundukları yerde görünebilinir.
10-İhaleye ait şartname aşağıdaki internet adresimizden bedelsiz olarak görünebilinir.
https://idarimali.istanbul.edu.tr/tr/
11-İhaleye iştirak edecekler bedeli karşılığında kendisi veya vekili şartname satın almak zorundadır Şartname alan tarafından şartları da kabul etmiş sayılır.
12-Posta ile yapılacak müracaatlarda teklifin 2886 sayılı devlet ihale Kanununun 37. maddesine uygun hazırlanması ve teklifin ihale saatinden önce komisyona ulaşması şarttır. Postadaki meydana gelebilecek gecikmelerde dolayı İdare veya komisyon herhangi bir sorumluluk kabul etmez komisyon ihaleyi
yapıp yapmamakta serbesttir.
13-İşbu ihale ilanı genel bilgi mahiyetinde olup, satışa, satış şartnamesi hükümleri uygulanır
İLAN OLUNUR.