ASKİ'da 50 milyon TL'ye satılık 20 imarlı arsa!
Ankara Su Ve Kanalizasyon İdaresi Genel Müdürlüğü (ASKİ) 20 adet imarlı arsayı toplam 50 milyon 932 bin 895 TL'ye satışa çıkardı...
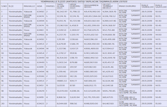
Ankara Su Ve Kanalizasyon İdaresi Genel Müdürlüğü (ASKİ) 20 adet imarlı arsayı satışa çıkardı. İhale yöntemiyle satışa çıkarılan 20 arsanın toplam muhammen bedeli 50 milyon 932 bin 895 TL olarak açıklandı.
Ankara Yenimahalle'deki imarlı arsaların satış ihalesi, ASKİ Genel Müdürlüğü Binası 2. Kat Toplantı Salonu İçerisindeki İhale Komisyonu huzurunda 28 - 29 Kasım 2019 tarihlerinde ilan metninde belirtilen saatlerde gerçekleştrilecek.

İlan metni:
ANKARA SU VE KANALİZASYON İDARESİ GENEL MÜDÜRLÜĞÜ
ETÜD PLAN PROJE EMLAK VE İSTİMLAK DAİRESİ BAŞKANLIĞI’NDAN
ANKARA SU VE KANALİZASYON GENEL MÜDÜRLÜĞÜ TAŞINIR, TAŞINMAZ, KAYNAK VE HAKLARIN DEĞERLENDİRİLMESİNE İLİŞKİN USUL VE ESASLAR HAKKINDA YÖNETMELİK’E GÖRE ARSA SATIŞI YAPILACAKTIR
Mülkiyeti Genel Müdürlüğümüze ait aşağıda İlçesi, Mahallesi, Ada/Parsel numarası, tapu alanı, hisse durumu, muhammen bedeli, geçici teminatı, imar durumu, ihale tarihleri ve ihale saatleri yazılı taşınmazların “Ankara Su ve Kanalizasyon Genel Müdürlüğü Taşınır, Taşınmaz, Kaynak ve Hakların Değerlendirilmesine İlişkin Usul ve Esaslar Hakkında Yönetmelik”in 21/a maddesi gereğince Kapalı Teklif Usulü ve satış bedeli, ihale karar pulu, ilan giderleri, sözleşme karar pulu ve giderleri peşin olmak üzere mülkiyet satışı yapılması için ilan edilmiştir.
İşin Adı : Ankara ili Yenimahalle ilçesi taşınmazların satılması
Madde 1-İhale ASKİ Genel Müdürlüğü Binası 2. Kat Toplantı Salonu İçerisindeki İhale Komisyonu huzurunda çizelgede belirtilen gün ve saatlerde yapılacaktır.
Madde 2-İhale Şartnamesi ile diğer evraklar Emlak İşleri Şube Müdürlüğünden (Kazım Karabekir Caddesi No:70 Ulus/Ankara Kat:5 No:523) adresinde 08.00–17.00 saatleri arasında görülebilir.
Madde 3- İhale Ankara Su ve Kanalizasyon Genel Müdürlüğü Taşınır, Taşınmaz, Kaynak ve Hakların Değerlendirilmesine İlişkin Usul ve Esaslar Hakkında Yönetmelik uyarınca Kapalı Teklif Usulü ile yapılacaktır.
Madde 4- İhaleye katılacakların şartnameyi her parsel için ayrı ayrı almaları zorunludur.
Madde 5-İstekliler, İhaleye katılmak için örneğine uygun teklif mektubu ile birlikte;
a) Kanuni İkametgâhı olması, tebligat için adres göstermesi.
b) Ticaret ve/veya Sanayi Odası belgesi (2019 yılı vizeli)
c) Noter tasdikli İmza sirküleri.
ç) Noter tasdikli vekâletname (gerekiyorsa).
d) Aski Genel Müdürlüğü adına alınmış geçici teminat mektubu verilecektir. (Geçici teminatlar nakit para ise) ASKİ Genel Müdürlüğü muhasebe veznesine yatırılıp alınacak alındı makbuzu verilecektir. Belirlenen geçici teminat bedelleri çizelgede belirtilen muhammen bedellerin %3’ü kadardır.
e) İstekli şirket ise onaylı şirket tüzüğü.
f) İstekliler, istenilen belgelerle birlikte teklif mektuplarını en geç ihale saatine kadar ihalenin yapılacağı İhale Komisyonu, (Etüd Plan Proje Emlak ve İstimlak Dairesi Başkanlığı) makbuz karşılığında verilmesi şarttır. Bu saatten sonra verilecek teklif mektupları veya herhangi bir nedenden dolayı (telgraf ve postada) meydana gelecek gecikmeler kabul edilmez.
g) Bu işin İhale Şartnamesi ve eklerinin satın alındığına dair alındı belgesi.
ğ) Kimlik ve Yetki Belgeleri.
h) İdare 2886 sayılı Devlet İhale Kanunu’na ve 4374 sayılı Kamu İhale Kanunu’na tabi olmaksızın yönetmelik hükümleri içerisinde ihaleleri yapıp, yapmamakta, kısımlara bölmekte, her kısmı başkasına ihale etmekte, yeterlik belgesi verip vermemekte serbesttir.
ı) İhale Komisyonu, gerekçesini kararda belirtmek suretiyle ihaleyi yapıp yapmamakta serbesttir. İdarenin, ihaleyi yapmama kararına itiraz edilemez.
i) Satıştan mütevellit bütün vergi, resmi harç, ilan giderleri, tapu harçları, alım satım giderleri gibi ödenmesi gereken her türlü giderler alıcıya ait olup, alıcı tarafından kanuni süresinde ödenecektir.
Madde 6- İhale için verilecek teklif mektubunda belirtilecek meblağ, rakam ve yazı ile okunaklı bir şekilde, (Silinti, kazıntı olmayacak) yazılacaktır.
Madde 7- Bu İşin Şartnamesi 250 TL (İkiyüzelli TürkLirası) bedel karşılığında her parsel için ayrı ayrı olacak şekilde, ihale saatine kadar Emlak İşleri Şube Müdürlüğü 5. Kat 523 Nolu odadan temin edilebilecektir.
Madde 8- İhale konusu işin satış bedeli peşin olarak yatırılacaktır. Satışa ilişkin düzenlenecek sözleşme notere tescil ettirilmeyecektir.
Madde 9- İş bu ihale ilanı genel bilgi mahiyetinde olup, satışa ihale şartnamesi hükümleri uygulanacaktır.
İLAN OLUNUR.