Çankaya İlkadım'da 11.7 milyon TL'ye satılık 35 dükkan!
Ankara Büyükşehir Belediyesi, Çankaya İlçesi İlkadım Mahallesi'nde yer alan 35 dükkanı ihale ile satıyor. İhale 11 Ekim'de gerçekleşecek..
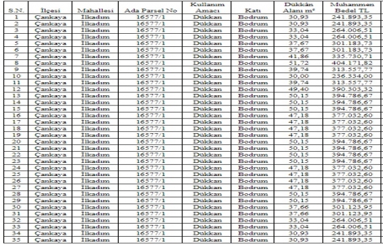
Ankara Büyükşehir Belediye Başkanlığı tarafından Çankaya İlkadım'da yer alan 35 dükkan ihale ile satılıyor. Toplam muhammen bedeli 11 milyon 791 bin 211,02 lira olarak belirlenen dükkanların satış ihalesi 11 Ekim 2018 tarihinde yapılacak.
Çankaya İlkadım'daki 35 dükkan yeniden satışta!
TAŞINMAZLAR SATILACAKTIR
Ankara Büyükşehir Belediye Başkanlığından:
Mülkiyeti Belediyemize ait aşağıdaki listede ilçesi, mahallesi, ada/parsel numarası, muhammen bedeli, geçici teminatı yazılı taşınmazlar ve içerisinde bulunan taşınır mallar 2886 Sayılı Kanunun 36. maddesi gereğince, Kapalı Zarf usulü ile satış bedeli, ihale karar pulu, ilan giderleri, sözleşme karar pulu ve diğer giderleri peşin ödenmek şartı ile toptan mülkiyet satışı yapılacaktır.
1 - İhale 11.10.2018 tarihinde Hipodrom Caddesi No: 5’deki Belediye Hizmet Binasının 18.katında bulunan ENCÜMEN salonunda toplanacak Belediye ENCÜMENİ’nce yapılacaktır.
2 - İhale suretiyle satışı yapılacak taşınmazın satış şartnamesi, her gün çalışma saatleri içerisinde, Hipodrom Caddesi No: 5 adresinde bulunan Belediyemiz Hizmet Binasının 14.katında bulunan EMLAK ve İSTİMLÂK DAİRESİ BAŞKANLIĞI Taşınmazlar Şube Müdürlüğünde görülebilir.
3 - İstekliler, İhale Şartnamesinin 2.Maddesinde yazılı ‘‘İhaleye girebilmek için isteklilerde aranan şartları’’ sağlamak zorundadır. Şartnameye uygun olmayan veya içinde şartname hükümleri dışında şartlar ihtiva eden teklifler geçersiz sayılacaktır. Buna göre isteklilerde aranacak bilgi ve belgeler;
a) Kimlik ve Yetki Belgeleri.
b) İkametgâh Belgesi.
c) Teklif Mektubu,
d) Taşınmaz Mal Satış Şartnamesi,
e) Yer Görme Belgesi.
f) Şartname Alındı Makbuzu.
g) Teminat Alındı Makbuzu veya 2886 sayılı Kanuna uygun Banka Teminat Mektubu.
4 - İhaleye iştirak edecek olanlar 500 TL (K.D.V Dahil) karşılığında şartname almak zorundadırlar.
5 - İhale için verilen teklif mektupları verildikten sonra geri alınamaz.
6 - İhale için verilecek teklif mektubunda belirtilecek meblağ rakam ve yazı ile okunaklı bir şekilde (Silinti, kazıntı olmayacak) yazılacaktır.
7 - Teklif mektuplarının en geç ihale günü saat 12.00’ ye kadar ihalenin yapılacağı adreste bulunan ENCÜMEN Başkanlığına (7.katta bulunan Yazı işleri ve Kararlar Dairesi Başkanlığına) verilmesi şarttır. Bu saatten sonra verilecek teklif mektupları veya her hangi bir nedenle oluşacak gecikmeler dikkate alınmaz.
8 - Satış şartnamesinde belirtilen hususlarla taşınmaza ait dosyasındaki bilgileri ve tapudaki takyidatları alıcı aynen kabul etmiş sayılır. İhalenin kesinleşmesinden sonra ihale uhdesinde kalanlar, satış şartnamesine aykırı bir talepte bulunamazlar.
9 - Satıştan mütevellit bütün vergi, resmi harç, ilan giderleri, tapu harçları, alım satım giderleri gibi ödenmesi gereken her türlü giderler alıcıya ait olup, alıcı tarafından kanuni süresinde ödenecektir.
10 - İhale Komisyonu (ENCÜMEN) gerekçesini karar içeriğinde belirtmek koşulu ile ihaleyi yapıp yapmamakta serbesttir. ENCÜMEN’ce uygun görülerek karara bağlanan ihale kararı ise; İta Amiri’nin Onay’ını takiben geçerlilik kazanacağı gibi, İta Amiri’nin ihaleyi onaylamaması halinde, iştirakçi idareye karşı herhangi bir hak iddiasında bulunamaz.
11 - İş bu ihale ilanı genel bilgi mahiyetinde olup, satışta ihale şartnamesi hükümleri uygulanacaktır.
