Edremit Belediyesi 42 adet arsa ve konutu satışa çıkardı!
Edremit Belediye Başkanlığı, Balıkesir Edremit’te yer alan 42 adet arsa ve konutu satışa çıkardı. Gayrimenkullerin satış ihalesi 18 Haziran 2025 tarihinde yapılacak.
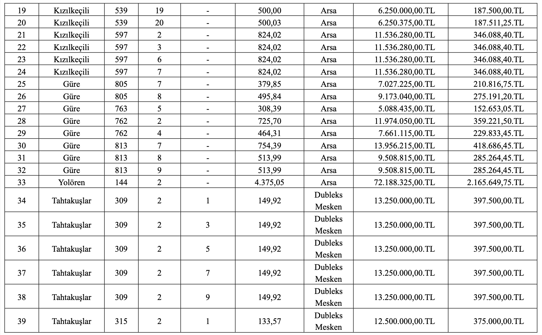
Edremit Belediye Başkanlığı, Balıkesir Edremit’te yer alan 42 adet arsa ve konut için satış ihalesi düzenliyor.
Satışa çıkarılan arsa ve konutların yüz ölçümleri 133,57 metrekare ile 4 bin 375,05 metrekare arasında değişiyor.
Söz konusu arsa ve konutların muhammen bedelleri 13 milyon 250 bin TL ile 5 milyon 88 bin 435 TL arasında farklılık gösterirken, geçici teminat bedelleri ise 397 bin 500 TL ile 152 bin 653,05 TL arasında değişiyor.
Arsa ve konutların satış ihaleleri 18 Haziran 2025 tarihinde saat 14.00’te Edremit Belediye Başkanlığı Meclis Salonu’nda yapılacak.

BALIKESİR EDREMİT'TE SATILIK KONUT VE ARSALAR
Balıkesir İli Edremit Belediye Başkanlığından:
İdarenin Adı : EDREMİT BELEDİYE BAŞKANLIĞI İdarenin Adresi : Soğanyemez Mahallesi Yılmaz Akpınar Bulvarı
No: 7/B EDREMİT/BALIKESİR
İdarenin Telefonu : 444 85 10 Dahili: 1219
1) İHALENİN KONUSU:



2) İHALENİN YERİ, TARİHİ, SAATİ VE USULÜ:
a) İhalenin Yapılacağı Yer : Edremit Belediye Başkanlığı Meclis Salonu
b) İhale Tarih ve Saati : 18.06.2025 Çarşamba, saat 14.00’ de başlayacak olup, yukarıdaki tabloda belirtilen sıra numarasına göre ihale edilecektir.
c) İhale Usulü : 2886 sayılı Devlet İhale Kanunu’nun 35/a maddesine göre Kapalı Teklif Usulü Artırma Suretiyle.
3) GEÇİCİ TEMİNAT: İhaleye girecek gerçek ve tüzel kişiler, istekli oldukları taşınmazla ilgili muhammen bedelin en az % 3’ü geçici teminatı Türkiye Halk Bankası TR24 0001 2009 2430 0004 0000 01 iban nolu Belediyemiz banka hesabına veya Belediyemiz veznesine nakit olarak yatırabileceği gibi bankalar veya özel finans kurumlarından alacakları süresiz banka teminat mektubu da sunabilirler.
4) ŞARTNAMENİN TEMİN EDİLECEĞİ YER:
İhale şartnamesi mesai saatleri içerisinde Edremit Belediye Başkanlığı Destek Hizmetleri Müdürlüğü’nde bedelsiz görülebilir. Ancak ihaleye katılacak olanların 5.000,00.TL (Beş bin Türk Lirası) karşılığında şartnameyi satın almaları gerekmektedir. İsteklilerin birden fazla taşınmazın ihalesine katılması halinde, her bir taşınmaz için ayrı ayrı ihale dosyası alınacaktır.
5) TEKLİFLERİN VERİLECEĞİ TARİH, SAAT VE YER:
İhaleye teklif verecekler ihale zarflarını, Edremit Belediye Başkanlığı Destek Hizmetleri Müdürlüğü’ne en geç 18.06.2025 Çarşamba günü, saat 14.00’ e kadar, sıra numaralı alındı belgesi karşılığında teslim edeceklerdir. Teklifler iadeli taahhütlü olarak posta yolu ile de gönderilebilir. İhale zarflarına tekliflerin hangi işe ait olduğu, isteklinin adı, soyadı veya ticaret unvanı ile açık adresi yazılacaktır. Posta ile gönderilecek tekliflerin en geç 18.06.2025 Çarşamba günü, saat 14.00’ e kadar Destek Hizmetleri Müdürlüğü’ne ulaşmış olması şarttır. Postada olacak gecikmeler kabul edilmez. Verilen teklifler herhangi bir sebeple geri alınamaz. Saat ayarlarında Türkiye Radyo ve Televizyon Kurumu’nun (TRT) saat ayarı esas alınır.
6) İHALEYE KATILABİLMEK İÇİN GEREKEN BELGELER: İsteklilerin ihaleye katılabilmeleri için aşağıda sayılan belgeleri teklifleri kapsamında sunmaları gerekir
İÇ ZARF
Teklif mektubundan oluşur. (Teklif mektubu, ihaleye katılacak gerçek ve tüzel kişilerce veya kanuni vekillerince imzalanacak ve bu teklifte şartname ve eklerinin aynen kabul edildiği belirtilecektir. Teklifler hem rakamla hem de yazıyla açık olarak yazılacaktır.)
Teklif mektubu bir zarf (iç zarf) içerisine konulup kapatıldıktan sonra zarf üzerine isteklinin adı, soyadı ve tebligata esas olan açık adresi yazılacaktır. Zarfın yapıştırılan yeri istekli tarafından imzalanacaktır.
DIŞ ZARF
a) Teklif mektubunu içeren iç zarf
b) Nüfus Cüzdan Fotokopisi (Gerçek Kişiler İçin)
c) e-Devletten Alınacak Kanuni İkametgâh Belgesi (Gerçek Kişiler İçin)
d) Türkiye’de Tebligat için Adres Beyanı (Adres, telefon, fax ve elektronik posta adresi bilgilerinin belirtilmesi)
e) Kayıtlı Olduğu Ticaret ve/veya Sanayi Odası ya da Esnaf Sanatkârlar Odası veya İlgili Meslek Odası Belgesi; • Gerçek kişi (kayıtlı ise) veya tüzel kişi olması halinde, ilgili mevzuatı gereği kayıtlı bulunduğu ticaret ve/veya sanayi odasından, esnaf ve sanatkâr odasından veya ilgili meslek odasından ilk ilan veya ihale tarihinin içinde bulunduğu yılda alınmış odaya kayıtlı olduğunu gösterir belge
f) Teklif Vermeye Yetkili Olduğunu Gösteren İmza Beyannamesi veya İmza Sirküleri
• Gerçek kişi olması halinde, noter tasdikli imza beyannamesi
• Tüzel kişi olması halinde, İlgisine Göre Tüzel Kişiliğin Ortakları, Üyeleri veya Kurucuları ile Tüzel Kişiliğin Yönetimindeki Görevlileri Belirten Son Durumu Gösterir Ticaret Sicil Gazetesi, Bu Bilgilerin Tamamının Bir Ticaret Gazetesi’nde Bulunmaması Halinde, Bu Bilgilerin Tümünü Göstermek Üzere İlgili Ticaret Sicil Gazeteleri veya Bu Hususları Gösteren Belgeler ile Tüzel Kişiliğin Noter Tasdikli İmza Sirküleri
g) İhale Şartnamesinin Satın Alındığına Dair Makbuz h) Geçici Teminat Bedeli Makbuzu veya Süresiz Geçici Teminat Mektubu
i) Edremit Belediyesi’ne Borcu Bulunmadığına Dair Mali Hizmetler Müdürlüğü’nden Alınan Belge
j) İstekli tarafından her sayfası imzalanmış şartname
k) İsteklinin Ortak Girişim Olması Halinde;
• İş Ortaklığı Beyannamesi • Ortakların Her Birinin İstenen Belgeleri Ayrı Ayrı Aynı Zarf İçinde Sunmaları Zorunludur.
l) Vekâleten İhaleye Katılma Halinde, Vekil Adına Düzenlenmiş İhaleye Katılmaya ve Teklif Vermeye İlişkin Noter Onaylı Vekâletname ile Vekilin Noter Tasdikli İmza Beyannamesi.
İlan Olunur