Erzurum Büyükşehir Belediyesi 26 arsayı satışa çıkardı!
Mülkiyeti Erzurum Büyükşehir Belediye Başkanlığı'na ait olan 26 arsa 4 Ekim 2016 tarihinde kapalı teklif usulüyle satışa çıkıyor.
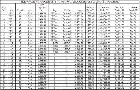
Mülkiyeti Erzurum Büyükşehir Belediye Başkanlığı'na ait, Palandöken İlçesi Osmangazi Mahallesi'nde yer alan 26 arsa için en düşük fiyat 2 milyon 338 bin 432 TL en yüksek fiyat ise 6 milyon 877 bin 629 TL olarak belirlendi.
Erzurum Büyükşehir Belediye Başkanlığından:
Mülkiyeti Erzurum Büyükşehir Belediyesine ait aşağıda mahalle, pafta, Ada, Parsel, Mesahası ve niteliği açık şekilde belirtilen arsaların ve iş yerinin satış ihalesi 04/10/2016 Salı günü saat 14:00 da 2886 sayılı Devlet İhale Kanununun 35/a maddesine istinaden Kapalı Teklif usulü ile Büyükşehir Belediyesi Encümen salonunda yapılacak.

Öznur YASLI / Emlakkulisi.com