Giresun'da 22 milyon TL'ye satılık 10 gayrimenkul!
Giresun İl Özel İdaresi, Giresun'da yer alan 10 gayrimenkulü satışa çıkardı. Gayrimenkullerin toplam bedeli 21 milyon 980 bin TL olarak belirlendi.
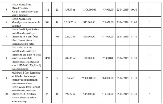
Giresun İl Özel İdaresi, Giresun Bulancak, Şebinkarahisar, Güce, Alucra, Dereli ve Keşap'ta yer alan 10 gayrimenkulü satışa çıkardı. Gayrimenkullerin toplam bedeli 21 milyon 980 bin TL olarak belirlendi.



1- Yukarıda niteliği ve bulunduğu yeri belirtilen taşınmaz mallar 2886 sayılı Kanunun 35. a maddesi gereğince “Kapalı Teklif Usulü” ile satışı
yapılacaktır. Ayrıca madde 11,12,13,14 ve 15.maddeler 2886 Sayılı Kanunun 45. Maddesi gereğince “Açık Teklif” usulü ile kiraya verilecektir.
2- İhale Giresun İl Özel İdaresi Valilik Makamı veya Genel Sekreterlik Makamında 1. maddede belirtilen usul ile yukarıda gösterilen tarih ve
saatlerde yapılacaktır.
3-İhaleye katılmak isteyen isteklilerin ihale saatine kadar;
• Geçici teminat; (Tedavüldeki Türk parası, Mevduat ve Katılım Bankaların verecekleri süresiz teminat mektupları ve Hazine Müsteşarlığınca İhraç
edilen Devlet İç borçlanma Senetleri veya bu Senetleri veya bu senetler yerine düzenlenen belgeleri)
• Yasal yerleşim yerini gösterir belgeyi,
• Tebligat için Türkiye’de adres göstermeleri
• Gerçek kişilerin T.C Kimlik numarasını bildirmeleri ve nüfus cüzdanı suretini vermeleri,(Aslı ihale sırasında ibraz edilecektir.), tüzel kişilerin vergi
kimlik numaralarını bildirmeleri, Özel Hukuk tüzel kişilerinin, İdare merkezlerinin bulunduğu yer Mahkemesinden veya siciline kayıtlı bulunduğu Ticaret ve
Sanayi Odasından veya benzeri mesleki kuruluştan, ihalenin yapıldığı yıl içinde alınmış sicil kayıt belgesi ile tüzel kişilik adına ihaleye katılacak veya
teklifte bulunacak kişilerin tüzel kişiliği temsile tam yetkili olduklarını gösterir noterlikçe tasdik edilmiş imza sirkülerini veya vekâletnameyi ihale saatine
kadar vermeleri; kamu tüzel kişilerinin ise tüzel kişilik adına ihaleye katılacak veya teklifte bulunacak kişilerin tüzel kişiliği temsile yetkili olduğunu belirtir
belgeyi vermeleri, gerekmektedir.
4- İhalelere ilişkin şartname ve ekleri mesai saatleri dâhilinde Giresun İl Özel İdaresi Encümen Müdürlüğünde görülebilir ve bedelsiz olarak temin
edilebilir.
5-Taşınmaz malın satış ve devir işlemleri sırasında düzenlenen belgelere ait her türlü vergi, resim, harç v.s giderleri ihaleyi alana aittir.
6- Taşınmaz mal bedeli ihale tebliğ tarihinden itibaren 1 (bir ay) içinde ödenecektir.
7- Posta ile yapılacak müracaatlarda teklifin 2886 Devlet İhale Kanununun 37.maddesine uygun hazırlanması ve teklifin ihale saatinden önce
komisyona ulaşması şarttır. Teklif sahibi komisyonda hazır bulunmadığı takdirde posta ile gönderilen teklif son kesin teklif olarak kabul edilir.
8- Postada meydana gelebilecek gecikmelerden dolayı İdare veya komisyon herhangi bir sorumluluk kabul etmez.
9- İhale komisyonu ihaleyi yapıp yapmamakta serbesttir.
İhale ilanı http://www.giresunozelidare.gov.tr adresinde görülebilir.