Güngören Belediyesi 105 adet gayrimenkulü satışa çıkardı!
İstanbul İli Güngören Belediye Başkanlığı, Çinçindere Caddesi'nde yer alan 105 adet gayrimenkulü satışa çıkardı.
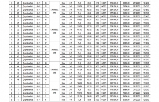
İstanbul İli Güngören Belediye Başkanlığı Çinçindere Caddesi'nde yer alan 105 adet gayrimenkul için satış ihalesi düzenliyor. İhale 27 Aralık 2021 tarihinde gerçekleştirilecek.
TAŞINMAZLAR SATILACAKTIR
İstanbul İli Güngören Belediye Başkanlığından:




1) Yukarıdaki nitelikleri ve tahmini bedeli belirtilen 105 adet taşınmazın satış ihalesi her bir bağımsız bölüm için ayrı ayrı olmak üzere, 2886 sayılı
Yasanın 36. maddesine göre, “Kapalı Teklif Usulü” ile yapılacaktır.
2) İhaleye iştirak etmek isteyenlerin;
• Başvuru dilekçesi,
• Taşınmaz Mal Satış Şartnamesi,
• Geçici Teminat makbuzu veya Banka Teminat Mektubu,
• Aslı ibraz edilmek şartı ile kimlik fotokopisi
• İhalenin yapılmış olduğu yıl içerisinde alınmış İkametgâh Belgesi
• İstekli adına vekâleten iştirak ediliyorsa, isteklinin adına teklif vermeye yetkili olduğuna dair noter tasdikli vekâletname
• Adli Sicil Kaydı
• Tüzel kişi olması halinde, Mevzuatı gereği tüzel kişiliğin siciline kayıtlı bulunduğu Ticaret ve / veya Sanayi veya Esnaf Odasından veya benzeri bir
makamdan ihalenin yapılmış olduğu yıl içerisinde alınmış tüzel kişiliğin siciline kayıtlı olduğuna dair belge (Tescil Belgesi) ve Kayıtlı olduğu Vergi Dairesi
ve numarası, teklif vermeye yetkili olduğunu gösteren noter tasdikli imza sirküleri veya vekâletname
• İsteklinin ortak girişim olması halinde şekli ve içeriği ilgili mevzuatlarca belirlenen noter tasdikli ortak girişim beyannamesi
Taşınmazların satış ihalesine teklif verecekler; tekliflerini yukarıda ve şartnamede belirtilen belgeler ile birlikte, 27.12.2021 tarihinde saat 09:00’a
kadar ihalenin yapılacağı Güngören Belediye Başkanlığı Proje Tanıtım Ofisi, Güven Mahallesi, Marmara Caddesi, No: 38, Zemin Kat Güngören/İstanbul,
teslim etmeleri gerekmektedir.
3) İhaleye katılacaklar Geçici Teminat bedelini nakit olarak yatırmak istediklerinde, teminat bedelini Belediyemiz veznesine yatırarak makbuzlarını
temin edebilirler. Bir adet bağımsız bölüm (konut veya dükkân) için, iki veya daha fazla kişinin ortak katılımı olması halinde, geçici teminat makbuzunda bu
kişilerin ad ve soyadlarının belirtilmiş olması gerekmektedir.
4) Geçici Teminat bedeline ilişkin Banka Teminat Mektubu, Geçici Teminat Mektubunun şekil ve içeriğinin 2886 sayılı Yasada belirtilen şartları
taşıması gerekmektedir.
5) Yabancı İstekliler için Türkiye de gayrimenkul edinilmesine ilişkin kanuni şartları taşımak ve Türkiye de tebligat adresi beyan etmek, ayrıca
Yabancı istekliler idareye sunacakları her türlü belgeleri, yeminli tercüman bürolarında Türkçeye çevirmek zorundadır.
6) İhale bedelinin tamamı peşin olarak alınacaktır.
7) İhaleyi yapıp yapmamakla ve uygun bedeli tespitte idare serbesttir.
8) 2886 sayılı Devlet İhale Kanunu’nun 6. maddesinde belirtilen kişiler bu ihaleye giremez.
İlan olunur.