Kızılcahamam Belediyesi'nden 41 satılık arsa!
Kızılcahamam Belediye Başkanlığı tarafından Yakakaya Mahallesinde bulunan 41 arsanın satışı 723 bin 458,19 TL'ye 13 Nisan 2015 ve 14 Nisan 2015 tarihlerinde ihale edilecek.
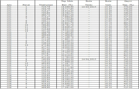
TAŞINMAZ MAL SATILACAKTIR
Kızılcahamam Belediye Başkanlığından:
Mülkiyeti Belediyemize ait Yakakaya Mahallesinde bulunan aşağıda ada, parsel ve miktarı belirtilen taşınmaz mallar 06.03.2015 tarih ve 59 sayılı Encümen kararı ile 2886 S.K’nun 45. Maddesine göre 13.04.2015 ve 14.04.2015 tarihlerinde Belediye Encümen Toplantı Salonunda Belediye Encümeni huzurunda ihalesi yapılacak olup, ihaleye ait şartname bedeli mukabilinde Tahakkuk Tahsilat Şefliğinden alınabilir
İlgililere ilan olunur.
KIZILCAHAMAM BELEDİYESİNCE SATIŞA SUNULAN ARSALAR
