Kızılcahamam Belediyesinden büyük fırsat! Ankara'da 6 taksitle tam 20 arsa satacak!
Ankara İli Kızılcahamam Belediye Başkanlığı, Ankara'da yer alan 20 adet arsayı satışa çıkardı. Söz konusu arsalar için 6 taksit imkanı sağlanıyor.
TAŞINMAZLAR SATILACAKTIR
Ankara İli Kızılcahamam Belediye Başkanlığından:
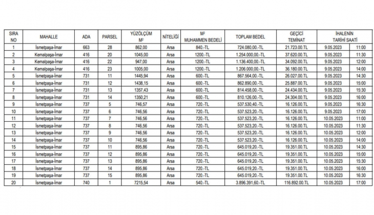
Mülkiyeti Belediyemize ait İsmetpaşa ve Kemalpaşa Mahallesinde bulunan aşağıda ada, parsel ve miktarı belirtilen taşınmaz mallar 20.04.2023 tarih
ve 71 sayılı Encümen kararı ile 2886 S.K’nun 45. maddesine göre %25 peşin geriye kalan toplam bedel ise -6- eşit taksit ile aşağıda yazılı tarih ve saatte
Belediye Encümen Toplantı Salonunda Belediye Encümeni huzurunda ihalesi yapılacak olup, ihaleye ait şartname bedeli mukabilinde Tahakkuk Tahsilat
Şefliğinden alınabilir
KIZILCAHAMAM BELEDİYESİNCE SATIŞA SUNULAN ARSALAR

Fatih Belediyesi İstanbul'un göbeğinde arsa satacak!