Muğla'da kiralık 78 gayrimenkul!
Muğla Büyükşehir Belediye Başkanlığı, Bodrum, Datça, Fethiye, Köyceğiz, Marmaris, Menteşe, Milas, Ortaca, Seydikemer ve Yatağan'da yer alan toplam 78 gayrimenkulü kiraya verecek.
Muğla Büyükşehir Belediye Başkanlığı, Bodrum, Datça, Fethiye, Köyceğiz, Marmaris, Menteşe, Milas, Ortaca, Seydikemer ve Yatağan'da yer alan toplam 78 gayrimenkul için kiralama ihalesi düzenliyor. İhale 26 Ekim 2021 tarihinde saat 14:00'te yapılacak.
TAŞINMAZLAR KİRALANACAKTIR
Muğla Büyükşehir Belediye Başkanlığından:
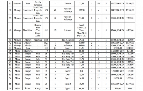
1. Muğla Büyükşehir Belediye Başkanlığının mülkiyeti, yönetimi ve tasarrufu altında bulunan, aşağıda nitelikleri, kira süreleri, yıllık tahmini kira ve
geçici teminat bedelleri belirtilen 78 adet taşınmaz; 26.10.2021 tarihinde saat 14.00’de, Orhaniye Mahallesi Bülent Önüçan Sokak Dış Kapı No: 2
Menteşe/MUĞLA adresindeki Türkan Saylan Çağdaş Yaşam Merkezi’nde bulunan ‘Çok Amaçlı Salon’da, İhale Komisyonu (Encümen) huzurunda 2886
sayılı Devlet İhale Kanunu’nun 45. maddesine göre “Açık Teklif Usulü” ile ilanda belirtilen sıraya göre kiralanmak üzere ihale edilecektir.




2. İhale dokümanı (Şartname ve ekleri, Yer Görme ile Borcu Yoktur Belgeleri) Şeyh Mahallesi, Kocamustafendi Caddesi, 1 Nolu Belediye Hizmet
Binası, Kat: 3 (Emlak ve İstimlak Dairesi Başkanlığı), Menteşe, Muğla adresinden bedelsiz olarak temin edilebilir.
3. İhaleye Katılacaklardan İstenilecek Belgeler:
A) GERÇEK KİŞİLERDEN:
a. Kimlik Sureti ve T.C. Kimlik Numarası,
b. Yerleşim Yeri (İkametgâh) Belgesi ve Nüfus Aile Kayıt Örneği (www.turkiye.gov.tr (e-Devlet) adresinden alınacaktır),
c. Nitelik (faaliyet konusu) tanımı yapılan taşınmazlar için, kayıtlı olduğu ticaret ve/veya sanayi odasından ya da Esnaf ve Sanatkarlar Odasından
ihalenin yapıldığı yıl içinde alınmış ihale ilan tarihinden önce kaydı olduğunu gösterir belge veya oda kayıt belgesinin bulunmaması halinde ilgili faaliyet
konusuna ilişkin ustalık belgesi,
ç. Temsil durumunda vekil adına düzenlenmiş ihaleye katılmaya ilişkin noter onaylı vekaletname,
B) TÜZEL KİŞİLERDEN:
a. Özel hukuk tüzel kişilerinin, idare merkezlerinin bulunduğu yer mahkemesinden veya siciline kayıtlı bulunduğu ticaret veya sanayi odasından yahut
benzeri mesleki kuruluştan, dernekler müdürlüğünden veya ilgili makamdan, ihalenin yapıldığı yıl içinde alınmış sicil kayıt belgesi ile tüzel kişilik adına
ihaleye katılacak veya teklifte bulunacak kişilerin tüzel kişiliği temsile tam yetkili olduklarını gösterir noterlikçe tasdik edilmiş imza sirküsü.
b. Temsil durumunda vekil adına düzenlenmiş ihaleye katılmaya ilişkin noter onaylı vekaletname,
c. Vergi kimlik numarası,
C) ORTAK BELGELER:
a.2886 sayılı Devlet İhale Kanunu’nun 26. maddesine uygun olarak hazırlanacak Geçici Teminat Belgesi,
b. Türkiye’de tebligat için adres beyanı,
c. İdare ve istekliler tarafından onaylı şartname ve ekleri,
ç. İstekliler tarafından onaylı yer görme belgesi,
d. Muğla Büyükşehir Belediyesi’ne vadesi geçmiş herhangi bir borcunun bulunmadığına dair Mali Hizmetler Dairesi Başkanlığı ve 1. Hukuk
Müşavirliğince onaylanmış belge,
e. Bilet Satış Yeri ve Yazıhane Deposu ile Bilet Satış Yeri başvuruları için Ulaştırma, Denizcilik ve Haberleşme Bakanlığı tarafından verilen B-1/D1/F-1/F-2 Yetki Belgelerinden herhangi biri,
Ç) İŞ ORTAKLIĞI OLMASI HALİNDE:
a. Noter tasdikli iş ortaklığı beyannamesi,
b. İş ortaklığında her bir ortağın (A) ve/veya (B) ile (C) bölümlerinde istenen belgeleri ayrı ayrı sunmaları zorunludur.

D) YABANCI KATILIMCILAR:
Yabancı katılımcıların sunacakları yurtdışında düzenlenmiş her türlü belgenin ilgili ülke mevzuatına göre düzenlenmiş olması, Türkiye Cumhuriyeti
Konsolosluklarınca veya Dışişleri Bakanlığınca tasdik edilmiş veya apostil şerhini taşıması gerekmektedir. Ayrıca yurt dışından temin edilen belgelerin yeminli
tercümanlar tarafından tercüme edilmiş olması ve belgelerin ibrazı gerekir.
4. İhaleye katılacakların, istenilen belgeleri 22.10.2021 Cuma günü saat 17:00’ ye kadar Emlak ve İstimlak Dairesi Başkanlığına teslim etmeleri
gerekmektedir. Bu tarih ve saatten sonra yapılan başvurular kabul edilmez. Ancak; istekliler 2886 sayılı Devlet İhale Kanunu’nun 37. maddesine uygun
düzenleyecekleri teklifleri ihale saatine kadar İhale Komisyonu Başkanlığına ulaşmış olmak kaydı ile iadeli taahhütlü mektupla da gönderilebilirler. Postadaki
gecikme nedeniyle Komisyon Başkanlığına ulaşmayan teklifler işleme konulmaz. Teklif sahibi komisyonda hazır bulunmadığı takdirde posta ile gönderilen
teklif son ve kesin teklif olarak kabul edilir.
5. 2886 sayılı Devlet İhale Kanunu’nun 6. maddesinde belirtilen kişiler doğrudan veya dolaylı olarak ihaleye katılamazlar. Bu hususun sonradan tespit
edilmesi halinde sözleşme feshedilir.
6. İhale sırasında hazır bulunmayan veya noterden tasdikli vekâletnameyi haiz bir vekil göndermeyen istekliler, ihalenin yapılış tarzına ve sonucuna
itiraz edemezler.
7. İhale komisyonu gerekçesini belirtmek suretiyle ihaleyi yapıp yapmamakta serbesttir. Komisyonun ihaleyi yapmama kararı kesindir.
8. Kiralananın yıllık kira bedelleri aylık olarak 12 eşit taksitte ödenecektir.
9. İş bu ihale ilanı genel bilgi mahiyetinde olup, taşınmazların kiralanmasında Şartname hükümleri uygulanacaktır.