Şanlıurfa'da 40 milyon TL'ye satılık 29 arsa!
Şanlıurfa Büyükşehir Belediyesi, Ertuğrulgazi ve Seyrantepe Mahallesi'ndeki 29 arsayı ihale ile satıyor...
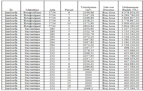
Şanlıurfa Büyükşehir Belediye Başkanlığı tarafından Ertuğrulgazi ve Seyrantepe Mahallesi'nde yer alan 29 arsa ihale ile satışa sunuluyor. Toplam muhammen bedeli 40 milyon 91 bin 660 lira olarak belirlenen gayrimenkullerin satış ihalesi 11 ve 18 Ekim'de yapılacak.
TAŞINMAZLAR SATILACAKTIR
Şanlıurfa Büyükşehir Belediye Başkanlığından:
1 - Aşağıda tapu kaydı, mevcut durumu, muhammen bedeli, geçici teminatı belirtilen Şanlıurfa Büyükşehir Belediyesine ait, taşınmazlar 2886 Sayılı Devlet İhale Kanununun 35/a maddesine göre Kapalı Teklif Usulü ve 45. maddesine göre Açık Teklif Usulü ile satılacaktır.

2 - İhale Atatürk Mahallesi Büyükşehir Belediye Binası Encümen Toplantı Salonunda 11.10.2018 Perşembe ve 18.10.2018 Perşembe günü Belediye Encümenince yapılacaktır.
3 - Taşınmaz Mal Satış Şartnamesi Kanberiye Mahallesi Büyükşehir Belediye Ek Hizmet Binası, Emlak İstimlâk Daire Başkanlığında görülebilir ve 250 TL karşılığında aynı adresten temin edilebilir. İhaleye teklifi olanların ihale dokümanını satın almaları zorunludur.
4 - İHALEYE GİREBİLME ŞARTLARI;
a) 2886 Sayılı D.İ.K.’nun 37. maddesi gereğince hazırlanacak teklif mektubunu,
b) Yukarıda belirtilen Geçici Teminat Bedelini; 2886 sayılı D.İ.K.’nun 27. maddesinde belirtilen şartlara haiz ve süresiz geçici banka teminat mektubu veya nakit olarak yatırıldığına dair banka makbuzunu,
c) İhaleye iştirak eden tarafından her sayfası ayrı ayrı imzalanmış şartnameyi,
d) T.C. Kimlik Numaralı Nüfus Cüzdanı sureti (Gerçek kişiler için)
e) İhalenin yapılmış olduğu yıl içerisinde alınmış kanuni ikametgâh belgesini (Gerçek kişiler için),
f) Noter tasdikli imza sirkülerini,
g) Türkiye’de tebligat için adres gösterilmesi,
h) Tüzel kişi olması halinde, yukarda istenen belge dışında; mevzuatı gereği tüzel kişiliğin siciline kayıtlı bulunduğu Ticaret ve/veya Sanayi veya Esnaf Odasından veya benzeri bir makamdan ihalenin yapılmış olduğu yıl içerisinde alınmış tüzel kişiliğin siciline kayıtlı olduğuna dair belge ve kayıtlı olduğu vergi dairesi ve numarası,
i) İsteklinin ortak girişim olması halinde, yukarda istenen belgeler dışında; şekli ve içeriği ilgili mevzuatlarca belirlenen noter tasdikli ortak girişim beyannamesi,
j) Tüzel kişi olması halinde, yukarda istenen belgeler dışında; teklif vermeye yetkili olduğunu gösteren noter tasdikli imza beyannamesi veya imza sirküleri,
k) Vekâleten ihaleye katılma halinde, yukarda istenen belgeler dışında; istekli adına katılan kişinin ihaleye katılmaya ilişkin noter tasdikli vekâletnamesi ile noter tasdikli imza beyannamesi,
5 - Taşınmaz satış ihalesine teklif verecekler; ihale zarflarını yukarıda ve şartnamede belirtilen belgeler ile birlikte satış şartnamesinde belirtilen maddeler uygun olarak hazırlayarak 11.10.2018 Perşembe ve 18.10.2018 Perşembe günü saat 11.00’e kadar Şanlıurfa Büyükşehir Belediyesi Emlak İstimlak Daire Başkanlığına teslim edeceklerdir.
6 - Posta ile yapılacak müracaatlarda teklifin 2886 sayılı Devlet İhale Kanununu 37.maddesine uygun hazırlanması ve teklifin ihale saatinden önce komisyona ulaşması şarttır.
7 - Postada meydana gelebilecek gecikmelerden dolayı, İdare ya da komisyon herhangi bir suretle sorumlu değildir.
8 - İhale Komisyonu gerekçesini belirtmek suretiyle ihaleyi yapıp, yapmamakta serbesttir.
Bilgi İçin:
Şanlıurfa Büyükşehir Belediyesi Emlak ve İstimlâk Daire Başkanlığı
Atatürk Mahallesi Büyükşehir Belediye Binası - ŞANLIURFA
Telefon : 0 414 313 16 07 Dahili 17 08
Faks : 0 414 313 06 49
www.sanliurfa.bel.tr
e-posta : [email protected]