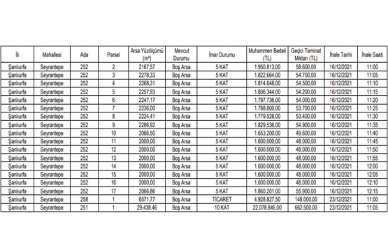
Şanlıurfa'da 54.7 milyon TL'ye satılık 18 arsa!
Şanlıurfa Büyükşehir Belediye Başkanlığı, Şanlıurfa Seyrantepe'de yer alan 18 adet arsayı 54 milyon 711 bin 142 TL bedelle satışa çıkardı.
Şanlıurfa Büyükşehir Belediye Başkanlığı, Şanlıurfa Seyrantepe'de yer alan 18 adet arsayı satışa çıkardı. Arsaların toplam satış bedeli 54 milyon 711 bin 142 TL olarak belirlendi.
Şanlıurfa Büyükşehir Belediye Başkanlığından:
1- Aşağıda tapu kaydı, mevcut durumu, muhammen bedeli, geçici teminatı belirtilen Şanlıurfa Büyükşehir Belediyesine ait, taşınmazlar 2886 sayılı Devlet İhale Kanununun 35/a maddesine göre Kapalı Teklif Usulü ve 45. maddesine göre Açık Teklif Usulü ile satılacaktır.

2- İhale 16/12/2021 ve 23/12/2021 tarihlerinde Perşembe Saat:11:00’da Büyükşehir Belediyesi Encümen Salonunda Belediye Encümenince yapılacaktır.
3- Taşınmaz Mal Satış Şartnamesi Cumhuriyet Caddesi, Büyükşehir Belediye Yeni Hizmet Binası, Emlak İstimlâk Daire Başkanlığı Emlak Yönetim Şube Müdürlüğünde görülebilir ve 1000 TL karşılığında aynı adresten temin edilebilir. İhaleye teklifi olanların ihale dokümanını satın almaları zorunludur.
4- İHALEYE GİREBİLME ŞARTLARI;
a) 2886 sayılı D.İ.K.’nun 37. maddesi gereğince hazırlanacak teklif mektubunu, (Kapalı teklifler için)
b) Yukarıda belirtilen Geçici Teminat Bedelini; 2886 sayılı D.İ.K.’nun 27. maddesinde belirtilen şartlara haiz ve süresiz geçici banka teminat mektubu veya nakit olarak yatırıldığına dair banka makbuzunu,
c) İhaleye iştirak eden tarafından her sayfası ayrı ayrı imzalanmış şartnameyi,
d) T.C. Kimlik Numaralı Nüfus Cüzdanı sureti (Gerçek kişiler için)
e) İhalenin yapılmış olduğu yıl içerisinde alınmış kanuni ikametgâh belgesini (Gerçek kişiler için),
f) Noter tasdikli imza sirkülerini,
g) Türkiye’de tebligat için adres gösterilmesi,
h) Tüzel kişi olması halinde, yukarda istenen belge dışında; mevzuatı gereği tüzel kişiliğin siciline kayıtlı bulunduğu Ticaret ve/veya Sanayi veya Esnaf Odasından veya benzeri bir makamdan ihalenin yapılmış olduğu yıl içerisinde alınmış tüzel kişiliğin siciline kayıtlı olduğuna dair belge ve kayıtlı olduğu vergi dairesi ve numarası,
i) İsteklinin ortak girişim olması halinde, yukarda istenen belgeler dışında; şekli ve içeriği ilgili mevzuatlarca belirlenen noter tasdikli ortak girişim beyannamesi,
j) Tüzel kişi olması halinde, yukarda istenen belgeler dışında; teklif vermeye yetkili olduğunu gösteren noter tasdikli imza beyannamesi veya imza sirküleri,

k) Vekâleten ihaleye katılma halinde, yukarda istenen belgeler dışında; istekli adına katılan kişinin ihaleye katılmaya ilişkin noter tasdikli vekâletnamesi ile noter tasdikli imza beyannamesi,
l) Şanlıurfa Büyükşehir Belediyesine borcu olmadığına dair belge,
m) İhalede her parsel için zaman aralığı 5’er dakika olup, uzaması halinde bir önceki ihale bitmeden diğerine geçilmeyecektir.
5- 16/12/2021 tarihinde yapılacak olan satış ihalesine teklif verecekler 15/12/2021 Çarşamba günü saat 17:00, 23/12/2021 tarihinde yapılacak olan Taşınmaz satış ihalesine teklif verecekler 22/12/2021 Çarşamba günü saat 17:00’a kadar hazırlamış oldukları ihale dosyalarını Şanlıurfa Büyükşehir Belediyesi Emlak İstimlak Daire Başkanlığı Emlak Yönetim Şube Müdürlüğüne teslim edeceklerdir.
6- Posta ile yapılacak müracaatlarda teklifin 2886 sayılı Devlet İhale Kanununu 37.maddesine uygun hazırlanması ve teklifin ihale saatinden önce komisyona ulaşması şarttır.
7- 251 ada 1 parsel, 258 ada 1 parseller için Kapalı Teklif Usulü ile yapılacak olup, diğer taşınmazlar Açık Teklif Usulü olacaktır.
8- Postada meydana gelebilecek gecikmelerden dolayı, İdare ya da komisyon herhangi bir suretle sorumlu değildir.
9- İhale Komisyonu gerekçesini belirtmek suretiyle ihaleyi yapıp, yapmamakta serbesttir.
10- Şanlıurfa Büyükşehir Belediyesine ait Banka Hesap Bilgisi:
Banka Adı: Ziraat Bankası Girişimci Şubesi
İban No: TR**********************71
Vergi No: 7880051454
İLAN OLUNUR
Bilgi İçin :
Şanlıurfa Büyükşehir Belediyesi Emlak ve İstimlâk Daire Başkanlığı
Emlak Yönetim Şube Müdürlüğü Büyükşehir Belediyesi Yeni Hizmet Binası
Cumhuriyet Caddesi, 147.Sokak 4. Kat No: 27 Haliliye/ŞANLIURFA
Telefon : 0 414 3185100 Dahili 1736 Faks: 0 414 313 0649 www.sanliurfa.bel.tr [email protected]
e-posta: [email protected] 0542 287 72 62