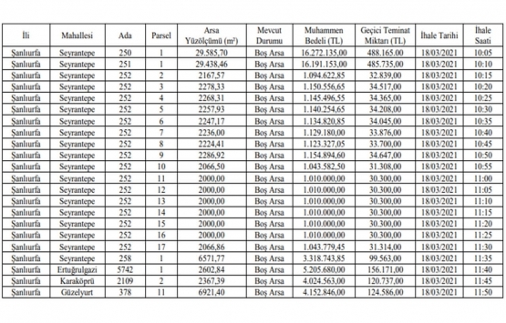
Şanlıurfa'da 66.4 milyon TL'ye satılık 22 gayrimenkul!
Şanlıurfa Büyükşehir Belediye Başkanlığı, Şanlıurfa'da yer alan 22 adet gayrimenkulü 66 milyon 385 bin 630 TL bedelle satışa çıkardı.
Şanlıurfa Büyükşehir Belediye Başkanlığı, Şanlıurfa'da yer alan 22 adet gayrimenkulü satışa çıkardı. Gayrimenkullerin toplam satış bedeli 66 milyon 385 bin 630 TL olarak belirlendi.
TAŞINMAZLAR SATILACAKTIR
Şanlıurfa Büyükşehir Belediye Başkanlığından:
1- Aşağıda tapu kaydı, mevcut durumu, muhammen bedeli, geçici teminatı belirtilen Şanlıurfa Büyükşehir Belediyesine ait, taşınmazlar 2886 sayılı Devlet İhale Kanununun 35/a maddesine göre Kapalı Teklif Usulü ve 45.maddesine göre Açık Teklif Usulü ile satılacaktır.

2- İhale 18/03/2021 Perşembe Saat: 10:00’da Belediye Encümenince yapılacaktır.
3- Taşınmaz Mal Satış Şartnamesi Cumhuriyet Caddesi, Büyükşehir Belediye Yeni Hizmet Binası, Emlak İstimlâk Daire Başkanlığı Emlak Yönetim Şube Müdürlüğünde görülebilir ve 1000 TL karşılığında aynı adresten temin edilebilir. İhaleye teklifi olanların ihale dokümanını satın almaları zorunludur.
4- İHALEYE GİREBİLME ŞARTLARI;
a) 2886 sayılı D.İ.K.’nun 37. maddesi gereğince hazırlanacak teklif mektubunu, (Kapalı teklifler için)
b) Yukarıda belirtilen Geçici Teminat Bedelini; 2886 sayılı D.İ.K.’nun 27. maddesinde belirtilen şartlara haiz ve süresiz geçici banka teminat mektubu veya nakit olarak yatırıldığına dair banka makbuzunu,
c) İhaleye iştirak eden tarafından her sayfası ayrı ayrı imzalanmış şartnameyi,
d) T.C. Kimlik Numaralı Nüfus Cüzdanı sureti (Gerçek kişiler için)
e) İhalenin yapılmış olduğu yıl içerisinde alınmış kanuni ikametgâh belgesini (Gerçek kişiler için),
f) Noter tasdikli imza sirkülerini,
g) Türkiye’de tebligat için adres gösterilmesi,
h) Tüzel kişi olması halinde, yukarda istenen belge dışında; mevzuatı gereği tüzel kişiliğin siciline kayıtlı bulunduğu Ticaret ve/veya Sanayi veya Esnaf Odasından veya benzeri bir makamdan ihalenin yapılmış olduğu yıl içerisinde alınmış tüzel kişiliğin siciline kayıtlı olduğuna dair belge ve kayıtlı olduğu vergi dairesi ve numarası,
i) İsteklinin ortak girişim olması halinde, yukarda istenen belgeler dışında; şekli ve içeriği ilgili mevzuatlarca belirlenen noter tasdikli ortak girişim beyannamesi,

j) Tüzel kişi olması halinde, yukarda istenen belgeler dışında; teklif vermeye yetkili olduğunu gösteren noter tasdikli imza beyannamesi veya imza sirküleri,
k)Vekâleten ihaleye katılma halinde, yukarda istenen belgeler dışında; istekli adına katılan kişinin ihaleye katılmaya ilişkin noter tasdikli vekâletnamesi ile noter tasdikli imza beyannamesi,
5- Taşınmaz satış ihalesine teklif verecekler; ihale zarflarını yukarıda ve şartnamede belirtilen belgeler ile birlikte satış şartnamesinde belirtilen maddeler uygun olarak hazırlayarak 17/03/2021 Perşembe günü saat 16:00’a kadar Şanlıurfa Büyükşehir Belediyesi Emlak İstimlak Daire Başkanlığı Emlak Yönetim Şube Müdürlüğüne teslim edeceklerdir.
6- Posta ile yapılacak müracaatlarda teklifin 2886 sayılı Devlet İhale Kanununun 37. maddesine uygun hazırlanması ve teklifin ihale saatinden önce komisyona ulaşması şarttır.
7- 250 ada 1 parsel, 251 ada 1 parsel, 258 ada 1 parsel, 281 ada 8 parsel, 5742 ada 1 parsel, 378 ada 11, 2109 ada 2 numaralı parseller için Kapalı Teklif Usulü ile yapılacak olup, diğer taşınmazlar Açık Teklif Usulü olacaktır.
8- Postada meydana gelebilecek gecikmelerden dolayı, İdare ya da komisyon herhangi bir suretle sorumlu değildir.
9- İhale Komisyonu gerekçesini belirtmek suretiyle ihaleyi yapıp, yapmamakta serbesttir.
İLAN OLUNUR
Bilgi İçin :
Şanlıurfa Büyükşehir Belediyesi Emlak ve İstimlâk Daire Başkanlığı Atatürk Mahallesi Büyükşehir Belediye Binası- ŞANLIURFA
Telefon : 0 414 313 1607 Dahili 1716 Faks : 0 414 313 0649 www.sanliurfa.bel.tr [email protected]
e-posta: [email protected] 0542 287 72 62