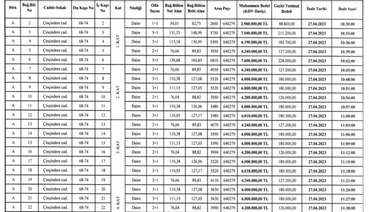
Semt Güngören'de 48 adet konut satılıyor! 1+1, 2+1, 3+1 ev sahibi olmak isteyen hemen baksın!
Güngören Belediye Başkanlığı, Semt Güngören projesinde yer alan 48 adet 1+1, 2+1, 3+1 daireyi 2 milyon 830 bin TL'den başlayan fiyatlarla satıyor. Peki Semt Güngören projesinde yer alan konutların ihalesi ne zaman?
İlan metni:
TAŞINMAZLAR SATILACAKTIR
İstanbul İli Güngören Belediye Başkanlığı




İlan metni için tıklayın