TOKİ açıkladı! Aylık 7 bin TL taksit ile daire satışı
Toplu Konut İdaresi Başkanlığı (TOKİ); Bilecik, Elazığ, Gaziantep ve Türkiye'deki birçok farklı ilde daire satışı yapılacağını açıklamıştı. Yoğun ilgi gören projelere pek çok vatandaş başvuruda bulunmuştu.
TOKİ, yeni projelerini adeta peş peşe açıkladı. aksam.com.tr'de yer alan içeriğe göre; Duyurulan projeler kapsamında onlarca konut satışı gerçekleşecek. Ayrıca en uygun daire, peşinat ve aylık 7.789,50 TL taksitten başlayan fiyatlarla satın alınabilecekleri kaydedidldi.
Toplu Konut İdaresi Başkanlığı (TOKİ), Türkiye'nin hemen her şehrinde zaman zaman daire satışı gerçekleştiriyor. Ayrıca Bilecik, Elazığ ve Gaziantep gibi birçok farklı ilde konut satışı yapılacağı açıklanmıştı.
Buna göre, TOKİ, yeni projelerini adeta peş peşe sıraladı. Duyurulan projeler kapsamında, 2+1 ve 3+1 daire satışı gerçekleşecek. Ayrıca en uygun konutun peşinat ve aylık 7.789,50 TL taksitten başlayan fiyatlarla satın alınabileceği belirtildi.
Ayrıca, söz konusu konut nerede ve diğer dairelerin fiyatlandırması ne durumda?
TOKİ TUNCELİ'DE 54 DAİRE SATACAK
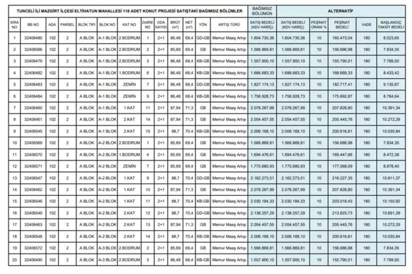
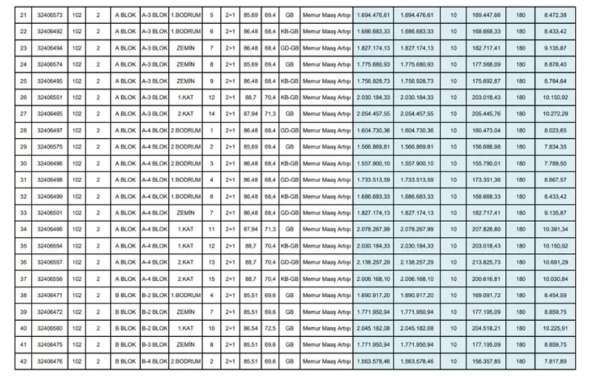
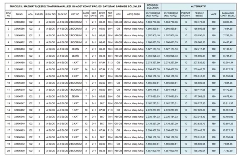
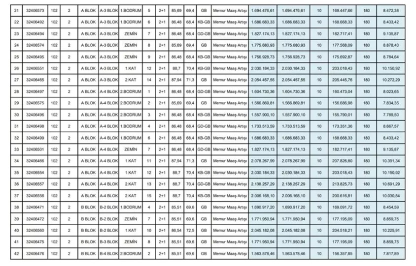
TOKİ; Tunceli, Mazgirt, Eltihatun mahallesi 118 adet konut ve 2 dükkanlı ticaret merkezi kapsamında, stoktaki 54 adet dairenin satışa çıkartılacağını duyurdu.
TOKİ tarafından Tunceli'de satılacak konut fiyatları kontrol edildiğinde, en uygun dairenin; 155.790,01 TL peşinat, 180 ay vade ve 7.789,50 TL taksitten başlayan fiyatlarla alıcısını bulacağı görüldü. Ayrıca başvuru tarihleri, 27 Kasım 2024 - 03 Aralık 2024 olarak açıklandı.
Söz konusu daire listesi şu şekilde;

TOKİ KIRIKKALE'DE 13 ADET KONUT SATIŞI YAPACAK
TOKİ; Kırıkkale, Delice, Aktepe mahallesi 3. Etap 126 adet konut inşaatı kapsamında, stoktaki 13 adet dairenin satışa çıkartılacağını açıkladı. Ayrıca başvuru tarihleri, 09 Aralık 2024 - 13 Aralık 2024 olarak kaydedildi.
TOKİ duyurdu! Ankara'da yeni stadyum kompleksi inşa edilecek
TOKİ Mardin Midyat kura sonuçları 29 Kasım 2024!
TOKİ Mardin Midyat kura sonuçları 29 Kasım 2024!
TOKİ’nin Mavişehir’deki 508 milyon TL’lik arazi satışı mahkemelik oluyor!