Yatırımcılar dikkat! İki şehirdeki imarlı 12 arsa satışa çıktı!
Kayseri ve Elazığ'da yer alan 12 arsa için satış ihalesi düzenleniyor. Satışa çıkarılan arsalar ticaret ve konut imarlı olarak belirtildi.
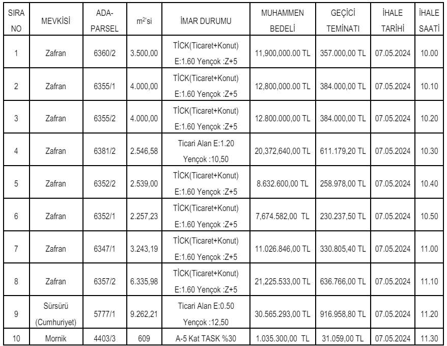
Kayseri ve Elazığ'da yer alan 12 adet arsa satışa çıkarıldı. İmarlı arsaların satış ihaleleri 7 Mayıs 2024 tarihinde gerçekleştirilecek.
Elazığ'da yer alan ticaret ve konut imarlı arsaların muhammen bedelleri 1 milyon 35 bin 300 TL ile 30 milyon 565 bin 293 TL arasında geçici teminat bedelleri ise 31 bin 59 TL ile 916 bin 958,80 TL arasında değişiyor.
Kayseri'de yer alan arsaların ise muhammen bedelleri 55 milyon TL ve 22 milyon TL olarak açıklanırken, geçici teminat bedelleri ise 1 milyon 650 bin TL ve 660 bin TL olarak açıklandı.
TAŞINMAZLAR SATILACAKTIR
Elazığ Belediye Başkanlığından:
1- Mülkiyeti Belediyemize ait aşağıda mevkii, ada, parsel numarası, m2 si, muhammen
bedeli, geçici teminatı, ihale tarihi ve saati yazılı arsaların satışı yapılacaktır.
2- Satışı yapılacak arsaların Listenin 5,6 ve 10. sırasındaki arsalar 2886 sayılı Devlet İhale
Kanunu’nun 45. maddesine göre Açık arttırma suretiyle diğer arsalar ise 2886 sayılı Devlet İhale
Kanunu’nun 35.maddesinin (a) bendi uyarınca kapalı teklif usulü ile (artırma suretiyle) satışı
yapılacaktır.
3- Arsaların İhalesi aşağıda belirtilen tarih ve saatlerde Cumhuriyet Mahallesi Malatya
Caddesi No:30 Elazığ Belediyesi Bünyamin Eroğlu Kültür ve Kongre Merkezinde Encümen
huzurunda yapılacaktır
4- İhale şartnamesi mesai saatleri içerisinde ücretsiz görüleceği gibi ihaleye iştirak
edilmesi halinde 1.000,00 TL bedel karşılığında Belediyemiz Emlak ve İstimlak Müdürlüğü
Kiralama Servisinden temin edilecektir. Birden fazla arsanın ihalesine katılması halinde; her bir
arsa için ayrı ayrı ihale dosyası alınacaktır. Ayrıca Teklif verecek kişiler ayrıntılı bilgi için Elazığ
Belediyesi Emlak ve İstimlak Müdürlüğü Kiralama Servisinden veya (424) 248 47 02 (dahili
1572) nolu telefondan bilgi alabileceklerdir.
5- İhaleye katılmak isteyen isteklilerden, aşağıdaki şartlar aranır;
5.1.Kanuni ikametgahı olması,
5.2.T.C. Kimlik numarasını içeren Nüfus cüzdanı sureti veya fotokopisi (Gerçek Kişiler
için)
5.3.İstekliye yapılacak her türlü yazışma ve tebligatlara esas olmak üzere adres beyanı,
5.4.Mevzuatı gereği kayıtlı olduğu Ticaret ve/veya Sanayi Odası ya da Esnaf ve
Sanatkarlar Odası veya ilgili Meslek Odası Belgesi,
a) Gerçek kişi olması halinde, (kaydı varsa) kayıtlı olduğu ticaret ve/veya sanayi
odasından ya da esnaf ve sânatkar odasından veya ilgili meslek odasından, ilk ilan veya ihale
tarihinin içinde bulunduğu yılda alınmış, odaya kayıtlı olduğunu gösterir belge
b) Tüzel kişi olması halinde, ilgili mevzuatı gereği kayıtlı bulunduğu Ticaret ve/veya
Sanayi Odasından, ilk ilan veya ihale tarihinin içinde bulunduğu yılda alınmış, tüzel kişiliğin
odaya kayıtlı olduğunu gösterir belge,
c) Ortak girişim olması halinde ortak girişimi oluşturan gerçek veya tüzel kişilerin her
birinin (a) ve (b)'deki esaslara göre temin edecekleri belge,
5.5.Teklif vermeye yetkili olduğunu gösteren İmza Beyannamesi veya İmza Sirküleri,
a) Gerçek kişi olması halinde, noter tasdikli imza beyannamesi,
b) Tüzel kişi olması halinde, ilgisine göre tüzel kişiliğin ortakları, üyeleri veya kurucuları
ile tüzel kişiliğin yönetimindeki görevlileri belirten son durumu gösterir Ticaret Sicil Gazetesi, bu
bilgilerin tamamının bir Ticaret Sicil Gazetesinde bulunmaması halinde, bu bilgilerin tümünü
göstermek üzere ilgili Ticaret Sicil Gazeteleri veya bu hususları gösteren belgeler ile tüzel
kişiliğin noter tasdikli imza sirküleri,
c) Ortak girişim olması halinde ortak girişimi oluşturan gerçek veya tüzel kişilerin her
birinin (a) ve (b)'deki esaslara göre temin edecekleri belge,
5.6.İstekliler adına vekaleten iştirak ediliyor ise, istekli adına teklifle bulunacak
kimselerin vekaletnameleri ile vekaleten iştirak edenin noter tasdikli imza sirküleri vermesi,
5.7.Geçici teminat (tahmini muhammen bedelin % 3’ ü oranında) bedeli ihale saatinden
önce yatırıldığına dair makbuzu veya teminat mektubu, Devlet Tahvili, Hazine kefaletine haiz
tahviller kabul edilir.
5.8.İsteklilerin ortak girişim olması halinde, noter tasdikli Ortak Girişim Beyannamesi ile
ortaklarca imzalanan Ortaklık Sözleşmesi vermesi,
6- Satışı yapılacak arsaların (Listenin 5,6, ve 10. sırasındaki arsalar hariç ) ihalesine
iştirak edecek istekliler 5.madde belirtilen belgelerle birlikte Usulüne uygun teklif mektubunu
içeren iç zarfıda, dış zarf içerisinde sunucaklardır.
7- Satışı yapılacak arsalarda 18.01.2017 tarih ve 6770 sayılı Kanunun 8. maddesi
gereğince; KDV alınmayacaktır.
8- İhale ve satıştan doğan bütün vergi, resmi harç, tapu harçları, alım satım giderleri vb.
ödenmesi gereken tüm giderler ihale edilene aittir.
9- Satış şartnamesinde belirtilen ve satışa çıkartılan Arsaların dosyasındaki bilgileri ve
tapudaki takyidatları ihale edilen kişi veya kişiler tarafından aynen kabul edilmiş sayılır.
10- Encümen gerekçesini karar içeriğinde belirtmek sureti ile ihaleyi yapıp yapmamakta
serbesttir.
11- İstekliler istenilen belgeleri ve tekliflerini ihale günü ihale saatine kadar İhale
Komisyon (Encümen) Başkanlığı’na verilecektir. Teklifler iadeli taahhü₺ü olarak da
gönderilebilir. Bu takdirde dış zarfın üzerine İhale Komisyon (Encümen) Başkanlığı'nın adresi ve
hangi işe ait olduğu, isteklinin adı soyadı veya ticari ünvanı ile açık adresi yazılır. Posta ile
gönderilecek tekliflerin ilanda belirtilen saate kadar komisyon başkanlığına ulaşmış olması şarttır.
Postada vuku bulacak gecikmeler kabul edilemez. Komisyon başkanlığına verilen teklifler
herhangi bir sebeple geri alınamaz.
12- İşbu İhale ilanı bilgi mahiyetinde olup, satışta idari şartname hükümleri geçerlidir.


TAŞINMAZLAR SATILACAKTIR
Kayseri İli Kocasinan Belediye Başkanlığından:
MADDE 1- İHALENİN KONUSU: Belediyemize ait aşağıda bilgileri verilen 2 (İki)
adet taşınmaz satış ihalesidir.

MADDE 2- İHALENİN TARİHİ, YERİ VE EVRAKLARIN TESLİM SÜRESİ: Söz
konusu taşınmazların ihalesi yukarıdaki tabloda belirtilen tarihte, Kayseri Kocasinan Belediyesi,
Meclis Toplantı Salonunda, İhale Komisyonunca (Encümenince) yapılacaktır. İhaleye iştirak
edecekler aşağıda istenilen belgelerle birlikte en geç 07.05.2024 Salı günü, Saat 12.00’a kadar,
Belediyemiz Emlak ve İstimlak Müdürlüğü, Gelir Şefliğine vermeleri ya da taahhütlü olarak posta
ile göndermeleri gerekmektedir. Ancak, postadaki gecikmeler ve telgrafla yapılan başvurular
İhale Komisyonunca kesinlikle kabul edilmeyecektir.
MADDE 3- İHALENİN YAPILIŞ ŞEKLİ: İhale, 2886 sayılı Devlet İhale Kanununun
35/a gereğince kapalı teklif (artırım) usulü ihale ile her bir parselin ayrı ayrı ihalesi yapılacaktır.
MADDE 4- İHALE ŞARTNAMESİNİN EKLERİ İLE TEMİNİ VE BEDELİ: İhale
şartnamesi Emlak ve İstimlak Müdürlüğü, Gelir Şefliğinde mesai saatleri içerisinde ücretsiz
olarak görülebilir. İhale dosya bedeli 750,00-TL (Yedi Yüz Elli Türk Lirası) olup, Kocasinan
Belediyesi Emlak ve İstimlak Müdürlüğü, Gelir Şefliğinden temin edilebilir. Katılımcı, yatırmış
olduğu dosya bedelinin yattığını gösterir makbuz fotokopisini, idareye Aslının Aynıdır diye tasdik
ettirdikten sonra, diğer parsellerin ihalesine katılmak için kullanabilir.
MADDE 5- TAŞINMAZLARIN MUHAMMEN BEDELİ, GEÇİCİ TEMİNAT
MİKTARI VE ESASLARI: Yukarıdaki tabloda her bir taşınmaz için muhammen bedel
belirtilmiştir. İhaleye girecek gerçek veya tüzel kişilerin, ihalesine katılmak istedikleri taşınmazla
ilgili yukarıda belirtilen Muhammen bedel üzerinden, % 3 Geçici Teminat vermeleri
gerekmektedir. Teminatlar, Belediyemiz veznesine yatırılabileceği gibi, Vakıfbank Tüm Şubeler
TR 65 0001 5001 5800 7292 5215 31 İban numaralı Halkbank Tüm Şubeler TR44 0001 2001
6470 0007 0000 01 iban numaralı Belediyemiz hesabına, dekontta ihalesine katılmak istenilen
taşınmazın ada ve parsel numaralarını belirtmek şartı ile yatırılabilir. Banka teminat mektubu
verilmesi halinde, Teminat mektubunda ihalesine katılmak istenilen taşınmazın ada ve parsel
numaraları yazılacaktır. Ayrıca Teminat mektubu süresiz olacak ve mektubun aslı olacaktır.
MADDE 6- ÖDEME ŞEKLİ: Sözleşme imzalandıktan sonra, 15 gün içerisinde İhale
bedelinin %30’u, vergiler, ilan bedeli ( Televizyon, Gazete, Billboard, vb.) gibi masraflar, alıcıya
ait olup peşin ödenecektir. Kalanı ise 8 (sekiz ) eşit taksit halinde ödenecektir. Alıcı tarafından
taksitli ödeme tercih edildiğinde kurumumuzla alıcı arsında taksitli satış sözleşmesi yapılacak
olup sözleşme damga vergisi tahsil edilecektir. Peşin ödeme tercih edildiğinde sözleşme damga
vergisi tahsil edilmeyecektir.
MADDE 7- İHALEYE KATILACAKLARDAN İSTENİLEN BELGELER:
7.1-) Gerçek Kişilerden İstenilecek Belgeler;
7.1.1-) İhaleye iştirak edecek kişi vekil ise Noter tasdikli Vekâletname (Aslı),
7.1.2-) Nüfus Müdürlüğünden alınacak nüfus kayıt örneği ve ikamet belgesi (Aslı),
7.1.3-) Tebligat için yasal adres bildirimi,
7.1.4-) Belediyemize vadesi geçmiş borcu olmadığına dair belge (Belediyemizden
alınacaktır),
7.1.5-) İhaleye ait dosya alındı makbuzu (Aslı ya da idarece tasdikli sureti),
7.1.6-) Geçici Teminatın Belediye veznesine veya yukarıda belirtilen banka hesabına
yatırıldığına dair makbuz veya banka dekontu (Aslı). Banka teminat mektubu verilmesi halinde,
Teminat mektubu süresiz ve Teminat mektubunun aslı olacaktır.
7.1.7-) İhaleye iştirak eden tarafından ihale dosyasındaki tüm dokümanlar ve şartnamenin
her sayfasının imza edilmesi gerekmektedir,
7.1.8-) İhale yasaklısı olmadığına dair taahhütname (Belediyemizden alınacaktır),
7.1.9-) Yabancı uyruklu isteklilerin sunacakları yurtdışında düzenlenmiş her türlü
belgenin, Türkiye Cumhuriyeti konsolosluklarınca tasdik edilmiş veya Apostil şerhine havi
olması gerekmektedir. Belgelerin aslı ile birlikte yeminli tercüman tarafından, tüm belgelerin
Türkçe tercüme edilmiş nüshalarının da bulunması gerekmektedir.
7.2-) Tüzel Kişilerden İstenilecek Belgeler;
7.2.1-) Tebligat için yasal adres bildirimi,
7.2.2-) Belediyemize vadesi geçmiş borcu olmadığına dair belge (Belediyemizden
alınacaktır),
7.2.3-) İhaleye ait dosya alındı makbuzu (Aslı ya da idarece tasdikli sureti),
7.2.4-) Geçici Teminatın Belediye veznesine veya yukarıda belirtilen banka hesabına
yatırıldığına dair makbuz veya banka dekontu (Aslı). Banka teminat mektubu verilmesi halinde,
teminat mektubu süresiz ve teminat mektubunun aslı olacaktır.
7.2.5-) Tüzel kişiliği belirten son durumu gösterir Ticaret Sicil Gazetesi veya bu hususları
tevsik eden belgeler ile tüzel kişiliğin noter tasdikli imza sirküleri (Aslı),
7.2.6-) Şirket (Tüzel kişilik) hissedarı olmayanların, Tüzel kişilik adına vekâleten ihaleye
katılacak veya teklifte bulunacak kişilerin, tüzel kişiliği temsile yetkili olduklarını gösterir
noterlikçe tasdik edilmiş vekâletname. (Aslı),
7.2.7-) Tüzel kişiliğin ihale yasaklısı olmadığına dair taahhütname (Belediyemizden
alınacaktır),
7.2.8-) Dernek, birlik, vakıf, vb. olması halinde Noter tasdikli mal satın alma yetkisini
gösterir genel kurul kararı (Aslı),
7.2.9-) Dernek, birlik, vakıf, vb. Temsilen İhaleye katılmak üzere yetkilendirdikleri kişiyi
belirten karar defterinin ilgili sayfasının noter tasdikli sureti ve yetkilinin noter tasdikli imza
beyannamesi (Aslı)
7.2.10-) Dernek, birlik, vakıf, vb.’ nin kuruluş tüzüğünün, Noter tasdikli fotokopisi ve
faaliyetine devam ettiğine dair ilgili makamlardan alınmış olan belge (Asılları),
7.2.11-) İhaleye iştirak eden ya da yetkili vekili tarafından her sayfası ayrı ayrı
imzalanmış şartname,
7.2.12-) Yabancı uyruklu isteklilerin sunacakları yurtdışında düzenlenmiş her türlü
belgenin, Türkiye Cumhuriyeti konsolosluklarınca tasdik edilmiş veya Apostil şerhine havi
olması gerekmektedir. Belgelerin aslı ile birlikte yeminli tercüman tarafından, tüm belgelerin
Türkçe tercüme edilmiş nüshalarının da bulunması gerekmektedir.
7.3-) Ortak Girişim Olması Halinde;
7.3.1-) Ortaklığı oluşturan her bir ortak için, gerçek kişi ise bu ilanın (7.1) bendinde
belirtilen belgelerin, tüzel kişilik ise, bu ilanın (7.2) bendinde belirtilen belgelerin yanı sıra,
aşağıda belirtilen belgelerin dosyasında bulunması gerekmektedir.
7.3.2-) Ortakların hisselerini ve pilot ortağı gösterir ortaklık sözleşmesi,
MADDE 8- İHALE İLANI HAKKINDA: İş .bu ihale ilanı genel bilgi mahiyetinde olup,
satışta ihale şartnamesi hükümleri uygulanacaktır.
1952'de Kira Tasarısı Meclis'te! Konut kiralarına yüzde 50, dükkan kiralarına yüzde 150 zam!
Emekli promosyonları artıyor! Vakıfbank en düşük emekli maaşı alana 5 bin TL verecek!
İslam Memiş'ten Bakan Şimşek'in 'altın' sözlerine yorum! Gram altında işler değişiyor mu?