Ankara Büyükşehir Belediyesi'nden 25.8 Milyon TL'ye satılık 20 arsa!
Ankara Büyükşehir Belediye Başkanlığı tarafından Altındağ ve Yenimahalle'de bulunan 20 arsanın satışı toplam 25 milyon 826 bin 622 TL'ye 2 Nisan 2015 tarihinde ihale edilecek.
TAŞINMAZ MAL SATILACAKTIR
Ankara Büyükşehir Belediye Başkanlığından:
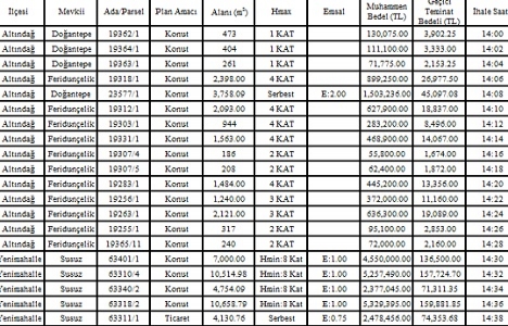
Mülkiyeti Belediyemize ait ekli listede ilçesi, mahallesi, ada/parsel numarası, muhammen bedeli, geçici teminatı yazılı taşınmazlar 2886 sayılı kanunun 36. maddesi gereğince, Kapalı Zarf usulü ile ayrı ayrı ve peşin bedelle mülkiyet satışı yapılacaktır.
1 - İhale 02.04.2015 Hipodrom Caddesi No: 5’deki Belediye Hizmet binasının 18. katında bulunan ENCÜMEN salonunda toplanacak Belediye Encümeni' nce yapılacak olan ihalede listedeki sıra takip edilecektir.
2 - İhale suretiyle satışı yapılacak taşınmazların satış şartnamesi her gün çalışma saatleri içerisinde, Hipodrom Caddesi No: 5 Belediyemiz hizmet binası 14.katında bulunan Emlak ve İstimlak Dairesi Başkanlığı Taşınmazlar Şube Müdürlüğünde görülebilir.
3 - İstekliler, Şartnamenin 3. Maddesinde yazılı ‘‘ İhaleye girebilmek için isteklilerde aranan şartları ’’ sağlamak zorundadır. Şartnameye uygun olmayan veya içinde şartname hükümleri dışında şartlar ihtiva eden teklifler geçersiz sayılacaktır. Buna göre İsteklilerde aranacak bilgi ve belgeler;
- Kimlik ve Yetki Belgeleri,
- İkametgah Belgesi,
- Teminat Alındı Makbuzu veya Banka Teminat Mektubu,
- Yer Görme Belgesi,
- Şartname Alındı Makbuzu,
- Teklif Mektubu,
- Taşınmaz Mal Satış Şartnamesi,
4 - İhaleye iştirak edecek olanlar 250 TL karşılığında şartname almak zorundadırlar.
5 - İhale için verilen teklif mektupları verildikten sonra geri alınamaz.
6 - İhale için verilecek teklif mektubunda belirtilecek meblağ rakam ve yazı ile okunaklı bir şekilde (Silinti, kazıntı olmayacak) yazılacaktır.
7 - Teklif mektuplarının en geç ihale günü saat 12.oo' ye kadar ihalenin yapılacağı adreste bulunan ENCÜMEN Başkanlığına (7. katta bulunan Yazı işleri ve Kararlar Dairesi Başkanlığına) verilmesi şarttır. Bu saatten sonra verilecek teklif mektupları veya her hangi bir nedenle oluşacak gecikmeler dikkate alınmaz.
8 - Satış şartnamesinde belirtilen hususlarla taşınmazlara ait dosyasındaki bilgileri ve tapudaki takyidatları alıcı aynen kabul etmiş sayılır. İhalenin kesinleşmesinden sonra ihale uhdesinde kalanlar, Satış Şartnamesine aykırı bir talepte bulunamazlar.
9 - Satıştan mütevellit bütün vergi, resmi harç, ilan giderleri, tapu harçları, alım satım giderleri, gibi ödenmesi gereken her türlü giderler alıcıya ait olup, alıcı tarafından kanuni süresinde ödenecektir.
10 - İhale Komisyonu (ENCÜMEN) gerekçesini karar içeriğinde belirtmek koşulu ile ihaleyi yapıp yapmamakta serbesttir. Encümen’ce uygun görülerek karara bağlanan ihale kararı ise; İta Amir’inin Onay’ını takiben geçerlilik kazanacağı gibi, İta Amir’inin ihaleyi fesh etmesi halinde, iştirakçi idareye karşı herhangi bir hak iddiasında bulunamaz.
11 - İş bu ihale ilanı genel bilgi mahiyetinde olup, satışta ihale şartnamesi hükümleri uygulanacaktır.
