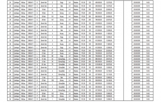
Ankara Çankaya'da 34.2 milyon TL'ye satılık 63 adet gayrimenkul!
Ankara Büyükşehir Belediye Başkanlığı, Ankara Çankaya'da yer alan 63 adet gayrimenkulü 34 milyon 229 bin TL bedelle satışa çıkardı.
Ankara Büyükşehir Belediye Başkanlığı, Ankara Çankaya'da yer alan 63 adet gayrimenkulü satışa çıkardı. Gayrimenkullerin toplam satış bedeli 34 milyon 229 bin TL olarak belirlendi.



Belediye Meclisinin 11.01.2018 tarih ve 65 Sayılı kararı uyarınca; Mülkiyeti, Belediyemize ait yukarıda yazılı listede yer alan taşınmaz / taşınmazlar; 2886 Sayılı Devlet İhale Kanununun 36. maddesi hükmünce Kapalı Teklif Usulü ile ihale edilerek, ‘‘ Taşınmaz Satışı İlan Listesinde ’’ belirlenen bedeller üzerinden 24.08.2020 tarihinde peşin toptan satışının yapılmasına, toptan satışın gerçekleşmemesi halinde B, C, D, E, F Bloklardaki
taşınmazlar 24.08.2020 tarihinde, G, H, K, L, M, N Bloklardaki taşınmazlar 25.08.2020 tarihinde, O, P, R Bloklar ve 29635/10 Parsel A ve C Bloklardaki taşınmazlar 26.08.2020 tarihinde peşin; perakende (tek tek) taşınmaz satışı yapılacaktır.
1- İstekliler; İhale Şartnamesini ve diğer eklerini, mesai saatleri (08:00-17:00) içerisinde; Emniyet Mah. Hipodrom Caddesi No:5 Yenimahalle / ANKARA adresinde bulunan Ankara Büyükşehir Belediyesi, Yeni Hizmet Binası A Blok Giriş Katı 19 nolu Emlak ve İstimlak Dairesi Başkanlığının Bankosunda görülebilir ve ‘‘ Taşınmaz Mal Satış Şartnamesini ’’ Toptan ve perakende satışlarda 300,00.-TL. (ÜçyüzTürklirası ) (KDV Dahil) ücret
karşılığında en geç 24.08.2020 Pazartesi günü, saat 10.00’ a kadar satın alabilirler. Ayrıca ihale ilan bilgilerine www.ankara.bel.tr adresinden ulaşılabilir.
2- Artırma ve İhale; yukarıdaki taşınmaz listesinde belirtilen tarih ve saatlerde Ankara Büyükşehir Belediyesi, Yeni Hizmet Binası, Emniyet Mah. Hipodrom Caddesi No: 5 B Blok 1. Kat Yenimahalle / ANKARA adresinde bulunan Encümen toplantı salonunda, Belediye Encümenince yapılacaktır.
3- Teklif mektupları, 24.08.2020 tarihindeki ihale için en geç 24.08.2020 Pazartesi günü saat 12.00’ ye kadar, 25.08.2020 tarihindeki ihale için en geç 25.08.2020 Salı günü saat 12.00’ ye kadar, 26.08.2020 tarihindeki ihale için en geç 26.08.2020 Çarşamba günü saat 12.00’ ye kadar sıra numaralı makbuz mukabilinde ihaleyi / artırmayı yapacak Ankara Büyükşehir Belediyesi, Yeni Hizmet Binası, Emniyet Mah. Hipodrom Caddesi No: 5 Kat 7 Yenimahalle / ANKARA adresinde bulunan Yazı İşleri ve Kararlar Dairesi Başkanlığı’na verilecektir. Teklifler, iadeli taahhütlü olarak da gönderilebilir.
Posta ile gönderilecek tekliflerin ilanda belirtilen saate kadar Komisyon Başkanlığına ulaşması şarttır. Postadaki gecikme nedeniyle işleme koyulmayacak olan tekliflerin alınış zamanı bir tutanakla tespit edilir. İhale Komisyon Başkanlığına verilen teklifler herhangi bir sebeple geri alınamaz.
4- İstekliler, Şartnamenin 2. maddesinde yazılı ‘‘İhaleye girebilmek için isteklilerde aranan şartları’’ sağlamak zorundadır. Şartnameye uygun olmayan veya içinde şartname hükümleri dışında şartlar ihtiva eden teklifler geçersiz sayılacaktır. Buna göre İsteklilerde aranacak bilgi ve belgeler;
- Kimlik ve Yetki Belgeleri,
- İkametgah İlmühaberi / İlmühaberleri (e-Devlet, Nüfus Müdürlükleri ve Muhtarlıklardan alınan ikametgah belgesi)
- Teminat Alındı Makbuzu veya Banka Teminat Mektubu,
- Yer Görme Belgesi,
- Şartname Alındı Makbuzu,
- Teklif Mektubu,
- Taşınmaz Mal Satış Şartnamesi,
- İstekli; Tüzel Kişilik, Vakıf, Ortak Girişim, Dernek, Federasyon olması halinde hazırlanacak belgeler, taşınmaz şartnamesinde belirtilmiştir.
5- Toptan veya perakende satışlarda; İhalenin Alıcıya 2886 Sayılı Kanunu’nun 32. maddesine göre tebliğ tarihinden itibaren 15 (Onbeş) gün içinde; ALICI, satış bedelinin tamamını, şartnamenin 15. Maddesinde belirtilen ( tapu harçları hariç ) İlan bedeli, Damga vergisi, Karar pulu ve diğer giderlerle birlikte Mali Hizmetler Dairesi Başkanlığı veznelerine veya banka hesaplarına peşin olarak ödeyecektir. Ödemeler yapıldıktan sonra ihale konusu taşınmazın/taşınmazların ALICI adına tapu devri yapılarak, Geçici Teminatları iade edilecektir. Yukarıda belirtilen yükümlülükleri ALICI yerine getirmediği takdirde, protesto çekmeye ve hüküm almaya gerek kalmaksızın ihale bozulur ve geçici teminat gelir kaydedilir.
6- İhale Komisyonu (ENCÜMEN) gerekçesini karar içerisinde belirtmek koşulu ile ihaleyi yapıp yapmamakta serbesttir. ENCÜMEN’ ce uygun görülerek karara bağlanan ihale kararı ise, İta Amiri’nin ONAY’ ını takiben geçerlilik kazanacağı gibi, İta Amirinin ihaleyi onaylamayıp iptal etmesi halinde istekli, idareye karşı her hangi bir hak iddiasında bulunamaz.
7- İş bu ihale ilanı genel bilgi mahiyetinde olup, satışta ihale şartnamesi hükümleri uygulanacaktır