Ankara Çankaya'da 66.2 milyon TL'ye satılık 46 gayrimenkul!
Çankaya Belediye Başkanlığı, Ankara Çankaya'da yer alan 46 adet gayrimenkulü 66 milyon 221 bin 100 TL bedelle satışa çıkardı.
Çankaya Belediye Başkanlığı, Ankara Çankaya'da yer alan 46 adet gayrimenkulü satışa çıkardı. Gayrimenkullerin toplam satış bedeli 66 milyon 221 bin 100 TL olarak belirlendi.
Çankaya Belediye Başkanlığından:
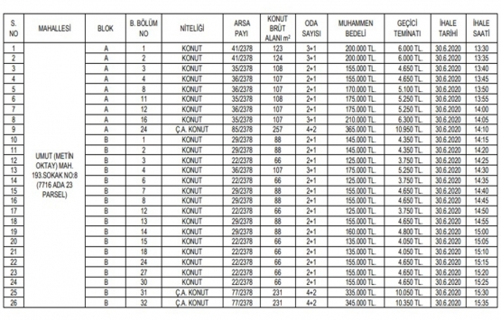
1 - Mülkiyeti Belediyemize ait aşağıda ada, parsel numarası, durumu, muhammen bedeli, geçici teminatı, ihale günü ve ihale saati yazılı taşınmazlar; 2886 Sayılı Devlet İhale Kanunu’nun 36. maddesi uyarınca kapalı teklif usulü (artırma) yoluyla satılacaktır.


2 - İhale; ilanda belirtilen tarih ve saatte, Belediye Başkanlığımızın Ziya Gökalp Caddesi No: 11 B-1 Blok 9. kat Kızılay/Ankara adresindeki Çankaya Belediyesi Encümen Salonunda yapılacaktır. İhale ile ilgili şartname; çalışma saatleri içerisinde Ziya Gökalp Cad. No: 11 A1-A2 Blok 6. kat Kızılay/Ankara adresindeki Belediyemiz Emlak ve İstimlak Müdürlüğünde ücretsiz görülebilir ve 150.-TL (yüzellilira) karşılığında temin edilebilir
3 - İhaleye gireceklerden;
Gerçek kişiler için; Nüfus Kayıt Örneği, Yerleşim Yeri Belgesi (Nüfus Müdürlüğünden/Noterden/E-devletten), İmza Beyannamesi (Noterden), Vekaleten iştirak halinde Noter tasdikli vekaletname ve imza beyannamesi.
Tüzel kişiler için; Tüzel kişiliğin idare merkezinin bulunduğu yer mahkemesinden veya siciline kayıtlı olduğu Ticaret ve/veya Sanayi Odası, Esnaf Odası veya benzeri bir makamdan ihale yılı içerisinde alınmış tüzel kişiliğin sicil kaydını gösterir belge (Aslı, noter tasdikli sureti veya aslı idarece görülmüştür onaylı sureti) ile Noter tasdikli Yetki Belgesi ve imza sirküleri; Dernek veya Vakıfsa taşınmaz mal satın alma yetkisini gösterir genel kurul
kararı ile teklifte bulunacak kişilerin yetki belgesinin noter onaylı sureti ve imza sirküleri;
Ortak girişim olarak girecek ortakların yukarıda belirtilen belgeler ile imza sirkülerini ve teklif mektubunda ortaklık oranlarını belirtmeleri; geçici teminata ait makbuzu (geçici teminatın banka teminat mektubu olması halinde limit içi ve süresiz olması gerekmektedir); İhale dosyasının idareden satın alındığına dair dosya alındı makbuzunun aslını; İhale konusu taşınmazın yerinde görüldüğüne dair Emlak ve İstimlâk Müdürlüğünden alınacak yer görme
belgesini; sözleşme ve şartnameleri okuyup kabul ettiğine dair taahhütnameyi; dış zarfa koymaları, teklif mektubunu şartname ekinde bulunan örneğine uygun olarak doldurarak iç zarfa koymaları ve teklifin hangi taşınmaz satışına ilişkin olduğunu yazmaları gerekmektedir.
4 - Tekliflerin ihale günü saat 12.00’ye kadar ihalenin yapılacağı Encümen Başkanlığına (Ziya Gökalp Caddesi No: 11 B-1 Blok 9. kat adresinde bulunan Yazı İşleri Müdürlüğü’ne) teslim edilmesi gerekmektedir.
5 - İhaleye posta ile katılmak mümkündür. İhaleye posta ile iştirak edeceklerin Şartname hükümlerine uygun olarak düzenleyecekleri tekliflerini, ihale günü saat 12.00’ ye kadar Belediye Başkanlığımızın Ziya Gökalp Caddesi No:11 B-1 Blok 9.kat Kızılay/ANKARA adresine, iadeli taahhütlü posta vasıtasıyla gönderebilecektir. Tekliflerdeki teklif edilen değer; ihaleye iştirak edenin son teklifi olarak değerlendirilecektir. Postada meydana gelecek gecikmeler dikkate alınmayacaktır.
6 - 2886 sayılı Devlet İhale Kanunu’nun 40.maddesinin ek fıkrası gereği; kapalı teklif usulü ile yapılan artırma ihalelerinde; geçerli en yüksek teklifin altında olmamak üzere, oturumda hazır bulunan isteklilerden sözlü veya yazılı teklif alınmak suretiyle ihale sonuçlandırılır. Ancak, geçerli teklif sayısının üçten fazla olması durumunda bu işlem, geçerli en yüksek teklif üzerinden, oturumda hazır bulunan en yüksek üç teklif sahibi istekliyle, bu üç
teklif ile aynı olan birden fazla teklifin bulunması halinde ise bu istekliler dahil edilmek suretiyle yapılır.
7 - Sadece 43 ve 44 sıra numarasındaki taşınmazlar için; İhale bedeli peşin ödenebileceği gibi, en az % 40’ı peşin, geri kalan kısmı ise gecikme zammı oranında faiz uygulanmak ve taksit tutarları ile gecikme zammı oranındaki faizleri karşılayacak miktarda kesin ve süresiz banka teminat mektubu alınmak suretiyle en fazla bir yılda ve altı eşit taksitle de ödeme yapılabilir.
8 - Belediyemizce satışı yapılacak taşınmazlar; KDV istisnasına tabi olduğundan, bu satışlardan KDV tahsilatı yapılmayacaktır.
9 - Telefon: 0 312 458 89 00 / 2240 - 2241 Faks: 0 312 458 90 76
10 - İdare İhaleyi yapıp yapmamakta serbesttir.
İlan olunur.