Ankara Çankaya'da 23.6 milyon TL'ye satılık 11 gayrimenkul!
Ankara Büyükşehir Belediye Başkanlığı, Ankara Çankaya'da yer alan 11 adet gayrimenkulü 23 milyon 615 bin TL bedelle satışa çıkardı.
Ankara Büyükşehir Belediye Başkanlığı, Ankara Çankaya'da yer alan 11 adet gayrimenkulü satışa çıkardı. Gayrimenkullerin toplam satış bedeli 23 milyon 615 bin TL olarak belirlendi.
TAŞINMAZLAR SATILACAKTIR
Ankara Büyükşehir Belediye Başkanlığından:
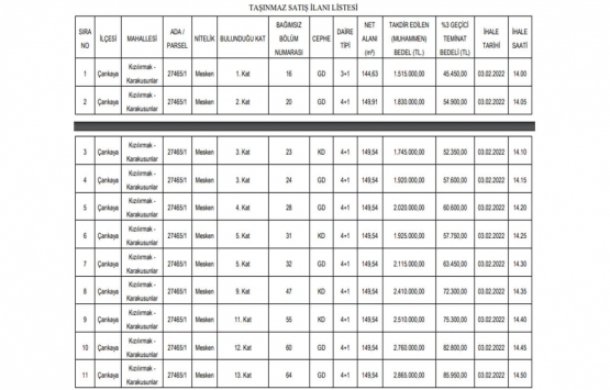
Mülkiyeti Belediyemize ait Çankaya ilçesi, Kızılırmak-Karakusunlar mahallesi, imarın 27465 ada 1 parsel üzerindeki aşağıdaki listede bağımsız bölüm numarası, takdir edilen (muhammen) bedeli, geçici teminatı yazılı taşınmazlar, 2886 sayılı Kanunun 36. maddesi gereğince Kapalı Zarf usulü ile satış bedeli, ihale karar pulu, sözleşme karar pulu, ilan giderleri ve diğer giderleri peşin ödenmesi şartıyla peşin perakende (tek tek) mülkiyet satışı yapılacaktır.
1-İhale 03.02.2022 tarihinde Hipodrom Caddesi No: 5’deki Belediye Hizmet binasının B-Blok 1. katında bulunan ENCÜMEN salonunda toplanacak Belediye ENCÜMENİ' nce yapılacaktır.
2-İhale suretiyle satışı yapılacak taşınmazın satış şartnamesi, en geç ihale günü (03.02.2022) Saat 11.00’a kadar Hipodrom Caddesi No: 5’deki Belediye Hizmet binasının 14. katında bulunan EMLAK ve İSTİMLAK DAİRESİ BAŞKANLIĞI Taşınmazlar Şube Müdürlüğünde görülebilir ve alınabilir.

3-İstekliler, Şartnamenin 2. maddesinde yazılı ‘‘İhaleye girebilmek için isteklilerde aranan şartları’’ sağlamak zorundadır. Şartnameye uygun olmayan veya içinde şartname hükümleri dışında şartlar ihtiva eden teklifler geçersiz sayılacaktır. Buna göre isteklilerde aranacak bilgi ve belgeler;
a-İmzalı Teklif Mektubu
b-İmzalı Taşınmaz Mal Satış Şartnamesi (Aslı)
c-İmzalı Yer Görme Belgesi (İdare tarafından mühürlü verilecektir.)
d-Şartname Alındı Makbuzu (Aslı)
e-Geçici Teminat Alındı Makbuzu Aslı veya 2886 sayılı Kanuna uygun Banka Teminat Mektubu (Geçici, Süresiz, Limit içi olması gerekir) veya 2886 sayılı Kanunun 26. maddesinde geçen değerler
f- İsteklilerin gerçek kişi olmaları halinde; nüfus kayıt örneği veya nüfus cüzdanı fotokopisi, ikametgah belgesi ( Aslı ), istekliyi şahıs temsil etmesi halinde “vekil” olduğunu gösterir noter tasdikli vekaletname, kimlik belgesi,
g-İsteklilerin tüzel kişi olmaları halinde; İdare Merkezinin bulunduğu yer Mahkemesinden veya sicilin kayıtlı olduğu Ticaret Odasından alınan faaliyet belgesi, ticaret sicil gazetesi, şirket yetkilisi imza sirküsü veya şirketin “vekili” olduğunu gösterir noter tasdikli vekaletname, temsil yetkisi ve temsilcinin noterden tasdikli imza sirküsü, kimlik belgesi,
h-İsteklilerin dernek, federasyon, konfederasyon, kooperatif veya vakıf olması halinde; resmi makamdan alınmış faaliyet belgesi, gayrimenkul alınması hususunda alınan noter onaylı Genel Kurul kararı, noter tasdikli temsilci yetkisi, temsilcinin noter tasdikli imza sirküsü, kimlik belgesi,
4-İhaleye iştirak edecek olanlar KDV dahil 500 TL (BeşyüzTürkLirası) karşılığında şartname almak zorundadırlar.
5-İhale için verilen teklif mektupları verildikten sonra geri alınamaz.
6-İhale için verilecek teklif mektubunda belirtilecek meblağ rakam ve yazı ile okunaklı bir şekilde (Silinti, kazıntı olmayacak) yazılacaktır.
7-Teklif mektuplarının en geç 03.02.2022 tarih 12:00’a kadar ihalenin yapılacağı adreste bulunan ENCÜMEN Başkanlığına (7. katta bulunan Yazı
işleri ve Kararlar Dairesi Başkanlığına) verilmesi şarttır. Bu saatten sonra verilecek teklif mektupları veya herhangi bir nedenle oluşacak gecikmeler dikkate
alınmaz.
8-Satış şartnamesinde belirtilen hususlarla taşınmaza ait dosyasındaki bilgileri ve tapudaki takyidatları alıcı aynen kabul etmiş sayılır. İhalenin
kesinleşmesinden sonra ihale uhdesinde kalanlar, satış şartnamesine aykırı bir talepte bulunamazlar.
9-Satıştan mütevellit bütün vergi, resmi harç, ilan giderleri, tapu harçları, alım satım giderleri gibi ödenmesi gereken her türlü giderler alıcıya ait
olup, alıcı tarafından kanuni süresinde ödenecektir.
10-İhale Komisyonu (ENCÜMEN) gerekçesini karar içeriğinde belirtmek koşulu ile ihaleyi yapıp yapmamakta serbesttir. ENCÜMEN’ce uygun
görülerek karara bağlanan ihale kararı ise; İta Amiri’nin Onay’ını takiben geçerlilik kazanacağı gibi, İta Amiri’nin ihaleyi onaylamaması halinde, iştirakçi
idareye karşı herhangi bir hak iddiasında bulunamaz.
11-İş bu ihale ilanı genel bilgi mahiyetinde olup, satışta ihale şartnamesi hükümleri uygulanacaktır.
12-İhaleye iştirak edecek isteklilerin ihale salonu ile İdare binasının içinde ve çevresinde Covid-19 tedbirleri gereğince maske kullanmaları ve sosyal
mesafe kurallarına uymaları gerekmektedir.
