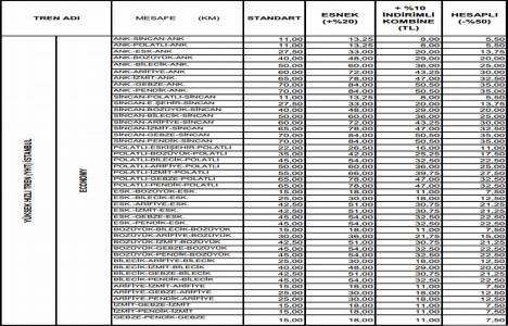
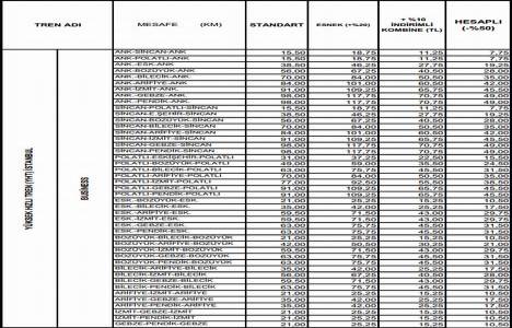
Ankara İstanbul Ankara hızlı tren YHT bilet fiyatları 2014!
Ankara İstanbul YHT bilet fiyatları kaç TL? İstanbul Ankara YHT bileti kaç lira? İşte hızlı tren durakları haritası ve duraklar arası YHT bilet ücretlerini gösteren ekonomi ve busines sınıf ücret tablosu...
İstanbul Ankara YHT bileti kaç lira? İstanbul Sincan YHT bileti kaç TL? İstanbul Polatlı yüksek hızlı tren bileti kaç TL? İstanbul Eskişehir YHT bilet ücreti kaç TL? İstanbul Bozüyük YHT bileti ne kadar? İstanbul Bilecik YHT bileti kaç lira? İstanbul Arifiye bilet fiyatı ne kadar? İstanbul İzmit arası yüksek hızlı tren bilet fiyatı kaç TL? İstanbul Gebze YHT bilet ücreti ne kadar?
Ankara Sincan YHT bileti kaç TL? Ankara Polatlı YHT bilet ücreti ne kadar? Ankara Eskişehir Ankara yüksek hızlı tren bilet fiyatı ne kadar? Ankara Bozüyük hızlı tren bileti kaç TL?
Ankara Arifiye arası hızlı tren bileti kaç TL? Ankara İzmit YHT bileti kaç lira? Ankara Gebze arası YHT bilet fiyatı ne kadar? Ankara Pendik İstanbul YHT bilet ücreti kaç lira?
Sincan Polatlı arası hızlı tren bilet ücreti kaç TL? Sincan Eskişehir arası YHT bileti kaç TL? Sincan Bozüyük YHT bilet fiyatı nedir? Sincan Bilecik arası hızlı tren bilet fiyatı kaç lira? Sincan Arifiye YHT bilet fiyatı kaç TL? Sincan İzmit Sincan YHT bilet ücreti ne kadar? Sincan Gebze YHT bilet ücreti kaç lira? Sincan Pendik İstanbul yüksek hızlı tren (YHT) bilet ücreti kaç TL?
Polatlı Eskişehir YHT bilet fiyatı ne kadar TL? Polatlı Bozüyük yüksek hızlı tren bilet fiyatı kaç lira? Polatlı Bilecik YHT fiyatı ne kadar? Polatlı Arifiye hızlı tren bileti kaç lira? Polatlı İzmit YHT bileti ne kadar? Polatlı Gebze Polatlı yüksek hızlı tren bilet ücreti kaç lira? Polatlı Pendik İstanbul YHT bilet fiyatı kaç TL?
Eskişehir Bozüyük YHT bilet ücreti kaç TL? Eskişehir Bilecik hızlı tren bileti ne kadar? Eskişehir Arifiye yüksek hızlı tren bileti kaç TL? Eskişehir İzmit Eskişehir YHT fiyatı ne kadar? Eskişehir Gebze hızlı tren bileti kaç lira? Eskişehir Pendik İstanbul YHT bileti kaç TL? Eskişehir İstanbul YHT bilet fiyatı kaç lira?
Bozüyük Bilecik arası YHT fiyatı ne kadar? Bozüyük Arifiye YHT bileti kaç lira? Bozüyük İzmit arası YHT bilet ücreti kaç TL? Bozüyük Gebze YHT bileti kaç lira? Bozüyük Pendik İstanbul YHT bileti ne kadar?
Bilecik Arifiye YHT bileti kaç lira? Bilecik İzmit hızlı tren bilet fiyatı ne kadar? Bilecik Gebze YHT bilet fiyatı kaç lira? Bilecik Pendik İstanbul arası YHT ne kadar?
Arifiye İzmit arası hızlı tren bileti ne kadar? Arifiye Gebze Arifiye YHT bileti kaç lira? Arifiye Pendik İstanbul YHT bileti kaç TL?
İzmit Gebze YHT bilet fiyatı nedir? İzmit Pendik İstanbul hızlı tren bileti kaç lira?
Gebze Pendik İstanbul YHT bileti kaç TL? İşte cevaplar...
Ankara İstanbul hızlı tren durakları!
Ankara - İstanbul YHT seferleri Ankara Gar ile Pendik Gar (İstanbul) arasında işlemektedir. Duruş yapılan gar ve istasyonlar şunlar;
- Sincan,
- Polatlı,
- Eskişehir,
- Bozüyük,
- Arifiye,
- İzmit,
- Gebze,
-Pendik.
Ankara - İstanbul arası ekonomi ve busines sınıf YHT bilet fiyat listesi* şöyle;


*Fiyatların güncellenmesi firmamızın sorumluluğunda olup, eksik ya da hatalı fiyat verilmesinden TCDD sorumlu değildir...