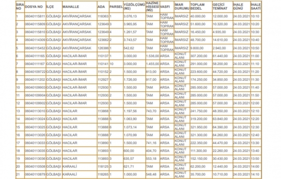
Ankara'da 33.5 milyon TL'ye satılık 33 gayrimenkul!
Ankara Çevre ve Şehircilik İl Müdürlüğü Başkent Milli Emlak Dairesi Başkanlığı, Ankara ili, Gölbaşı ve Çankaya mahallelerinde yer alan 33 gayrimenkulü 33 milyon 521 bin 850 TL'ye satıyor...
Ankara Çevre ve Şehircilik İl Müdürlüğü Başkent Milli Emlak Dairesi Başkanlığı tarafından, Ankara ili, Gölbaşı ve Çankaya mahallelerinde yer alan 33 gayrimenkul 33 milyon 521 bin 850 TL'ye satışa sunuldu.

İlan metni:


1. Yukarıda nitelikleri belirtilen taşınmazların satış ve kira ihaleleri 2886 sayılı Kanunun 45. maddesi uyarınca Açık Teklif Usulü ile, 30.sıradaki taşınmazın ise satış ihalesi 2886 sayılı Kanunun 36.maddesi uyarınca Kapalı Teklif Usulü ile; 24/03/2021-25/03/2021 tarihlerinde yukarıda belirtilen saatlerde sırasıyla Ankara Çevre ve Şehircilik İl Müdürlüğü Başkent Milli Emlak Dairesi Başkanlığı İhale Salonunda, Anıt Emlak Müdürlüğünce oluşturulacak komisyonca yapılacaktır.
2.İsteklilerin ihaleye katılabilmeleri için;
a) Gerçek kişilerde: Yasal yerleşim yeri belgesi (İkametgah ilmuhaberleri), tebliğat için Türkiyede adres göstermeleri ve T.C. kimlik numarasını gösterir nüfus cüzdan fotokopisi,
b)Tüzel kişilerde ise; İdare merkezlerinin bulunduğu yer mahkemesinden veya siciline kayıtlı bulunduğu ticaret veya sanayi odasından yahut benzeri mesleki kuruluştan, ihalenin yapıldığı yıl içinde alınmış sicil kayıt belgesi ile tüzel kişilik adına ihaleye katılacak veya teklifte bulunacak kişilerin temsile tam yetkili olduklarını gösterir noterlikçe tasdik edilmiş yetki belgesi ve imza sirkülerini veya vekaletname aslını vermeleri,
c) Satın almak/kiralamak istedikleri taşınmazlara ait Geçici Teminat Bedelinin Muhasebe Müdürlüklerine veya Malmüdürlüklerine yatırıldığına dair makbuzun, Teminat Bedelinin Banka aracılığı ile ödenmesi halinde ise Muhasebe Müdürlüğünden alınacak Muhasebe İşlem Fişinin (2886 Sayılı Kanunun 26.maddesinde belirtilen değerlerden herhangi biri olabilir. Banka Teminat Mektubunun verilmesi halinde "Teminat Mektubunun Geçici, Süresiz, Limit içi olması" ve Teyit yazısı'nın da ibrazı gerekir.) ile 30.sıradaki ihale için tekliflerin ve diğer belgelerin 2886 sayılı Kanunun 37. maddesinde belirtilen usule uygun olarak hazırlanarak, ihale başlama saatine kadar komisyon başkanlığına teslim edilmesi zorunludur.
3. İhale şartnameleri mesai saatleri içerisinde Anıt Emlak Müdürlüğünün ilçe servislerinde görülebilir. Kiralama işlemine ait şartnamede belirtilen usul ve esaslara uyulacaktır.
4.İhaleye katılıcakların Covid-19 tedbirleri kapsamında HES kodu almaları gerekmektedir.
5- İhaleye iştirak edecek isteklilerin ihale salonu ile İdare binasının içinde ve çevresinde Covid-19 tedbirleri gereğince maske kullanmaları ve sosyal mesafe kurallarına uymaları önem arz etmektedir.
6. 4706 sayılı Kanun gereğince, Hazine tarafından yapılan satış işlemleri ve bu işlemler sırasında düzenlenen belgeler vergi, resim ve harçtan (K.D.V, Karar Pulu ve Tapu Harcı) müstesnadır. Satışı yapılan taşınmazlar, satış tarihini takip eden yıldan itibaren 5 yıl süre ile Emlak Vergisine tabi değildir.
7. Satış ihale bedeli defaten ödenebileceği gibi, ihale bedelinin 5.000,00 TL'yi aşması halinde talep üzerine, bedelin 1/4 'ü peşin, kalan kısmı kanuni faiz uygulanmak suretiyle en fazla iki yılda eşit taksitlerle ödenmek üzere taksitlendirme yapılabilecektir.Kiralanacak taşınmazlarda ihale bedeli peşin ödenebileceği gibi 1/4 peşin geri kalan kısın üçer aylık dönemler halinde üç taksitte tahsil edilecektir.Ayrıca ihale bedeli üzerinden Kat'i Teminat, Damga Vergisi ve Karar Pulu bedeli alınacaktır.
8. Taşınmazların işgal durumları Satış Şartnamesinde açıklanmış olup, işgalli taşınmazlar için Hazineden herhangi bir hak ve tazminat talebinde bulunulmayacaktır.Taşınmazın imar durumu, yapılanma şartları vb. hususların istekli tarafından ilgili belediyesinden araştırdığı ve bilindiği kabul edilecek olup taşınmazın imar durumu, yapılanma şartları vb. hususlara ilişkin Hazine, hiç bir sorumluluk yüklenmez.
9. Posta yolu ile verilecek tekliflerde gecikmeler kabul edilmeyecektir.
10-Komisyonlar ihaleyi yapıp yapmamakta serbesttir. Bu ihaleye ilişkin bilgiler; www.ankara.csb.gov.tr, Türkiye Genelindeki ihale bilgileri ise; www.milliemlak.gov.tr web sayfalarından öğrenilebilir.
Adres: İzmir-1 Cad. No:35 Kızılay/ ANKARA Tel: 0 (312) 417 71 71