Belediyelerden Kayseri ve Malatya’da satılık arsa, arazi konut ve dükkan!
Malatya ve Kayseri’de yer alan 30 adet gayrimenkul satışa çıkarıldı. Satışa çıkarılan arsa, arazi, konut ve dükkanların satış ihalesi 8 Ocak ve 9 Ocak’ta yapılacak.
Malatya Büyükşehir Belediye Başkanlığı ve Bünyan Belediye Başkanlığı, Malatya ve Kayseri’de yer alan 30 adet gayrimenkulü satışa çıkardı.
Satışa çıkarılan arsa, arazi, konut ve dükkanların hem muhammen bedelleri hem de ihale tarihleri açıklandı.
Malatya Battalgazi’de yer alan iki adet dükkanın brüt alanları 102.28 metrekare ve 822 metrekare olarak açıklandı.
Muhammen bedelleri 12 milyon TL ve 20 milyon TL şeklinde belirtilerin iş yerlerinin geçici teminat bedelleri 360 bin TL ve 600 bin TL şeklinde belirtildi.
Dernek Mahallesi’nde yer alan iki adet iş yerinin satış ihalesi 9 Ocak 2025 tarihinde saat 14.30 ve Malatya Büyükşehir Belediyesi Hizmet binası içerisinde bulunan Encümen Toplantı Salonunda, Encümen huzurunda yapılacak.
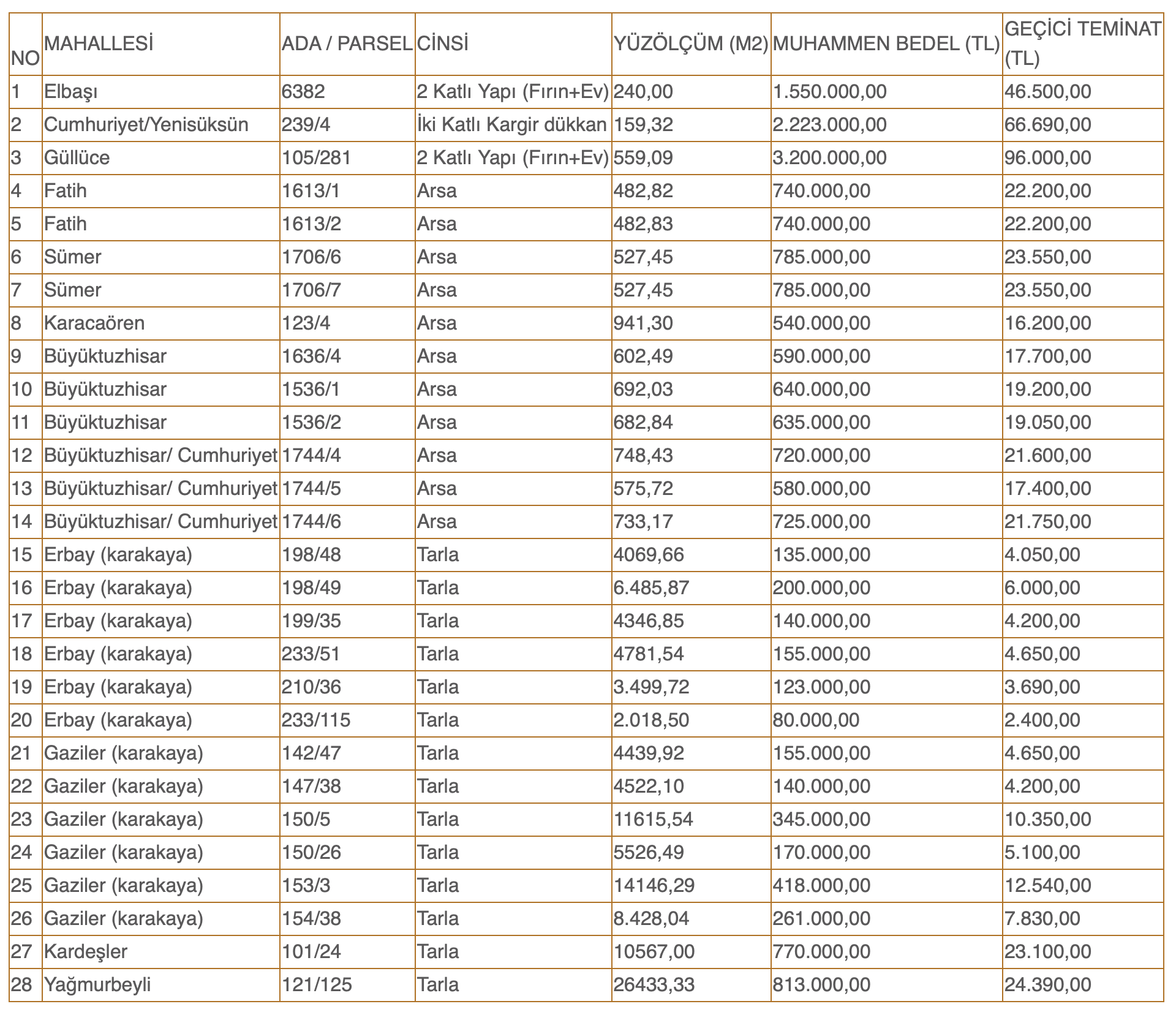
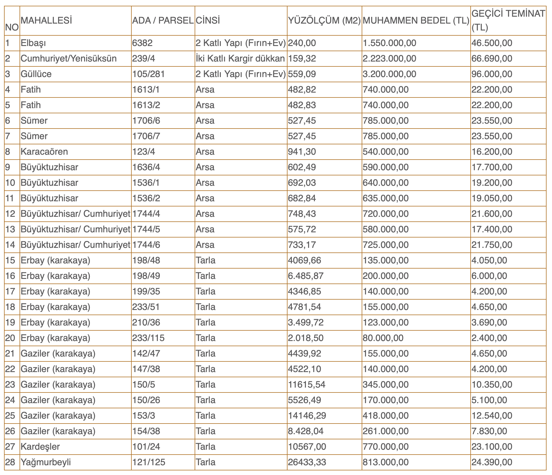
İKİ ŞEHİRDE SATILIK 30 GAYRİMENKUL
Kayseri Bünyan’da yer alan arsa, dükkan, konut ve arazilerin yüz ölçümleri 159, 32 metrekare ile 26 bin 433,33 metrekare arasında değişiyor.
Muhammen bedellerin 3 milyon 200 bin TL ile 80 bin TL arasında değiştiği gayrimenkuller için ödenecek geçici teminat bedelleri 2 bin 400 TL ile 96 bin TL arasında farklılık gösteriyor.
Kayseri Bünyan’daki gayrimenkullerin satış ihalesi 8 Ocak 2025 tarihinde saat 16.00’da Bünyan Belediyesi Meclis Toplantı Salonunda Encümen huzurunda yapılacak.
TAŞINMAZLAR SATILACAKTIR
Malatya Büyükşehir Belediye Başkanlığından:
1. Mülkiyeti Malatya Büyükşehir Belediyesine ait olan, Malatya İli, Battalgazi İlçesinde bulunan, aşağıda özellikleri belirtilen, taşınmaz malların satış ihaleleri listede gösterilen tarih ve saatte Belediyemiz Hizmet binası içerisinde bulunan Encümen Toplantı Salonunda, Encümen huzurunda, 2886 sayılı Devlet İhale Kanununun 45. maddesine göre "Açık Teklif Usulü” ile yapılacaktır.
2. Satışı yapılacak taşınmazların yeri, konumu, alanı, tahmin edilen bedeli, geçici teminat miktarı, ihale tarihi ve saati aşağıda belirtilmiştir.
3. İhaleye çıkarılan taşınmaz mallar ile ilişkin ihale şartname ve ekleri bedelsiz olarak, Büyükşehir Belediyesi Destek Hizmetleri Dairesi Başkanlığı’ndan alınabilir, ücretsiz olarak incelenebilir.
4. İhaleye katılmak isteyenlerin;
a) Yasal yerleşim yerini gösterir belgeyi (İkametgah belgesi)
b) Tebligat için Türkiye’de adres göstermeleri,
c) Gerçek kişilerin Nüfus Cüzdanı fotokopisini, tüzel kişilerin ise vergi kimlik numarasını bildirmeleri,
d) Geçici teminat makbuzunu veya teminat mektubunu, geçici teminat mektubunun süresiz olması gerekmektedir.
e) Başka şahıs adına ihaleye iştirak edeceklerin noter tasdikli vekaletnameyi, ortak katılım halinde Ortaklık Girişim Beyannamesi, Tüzel kişilerin yılı
içerisinde alınmış Ticaret ve Sanayi Odası belgesini, yetki belgesini ve imza sirkülerini, kamu tüzel kişilerinin ise, tüzel kişilik adına ihaleye katılacak veya
teklifte bulunacak kişilerin tüzel kişiliği temsile yetkili olduğunu belirtir belgeyi ibraz etmeleri zorunludur.
5. Posta ile yapılan müracaatlardaki gecikmeler kabul edilmez.
6. Yapılan ihalenin onaylanmasından sonra taşınmaz mal satış bedeli 15 güne kadar ödenecektir. Büyükşehir Belediyesine ait ihale konusu taşınmaz mallar KDV'ye tabi değildir.
7. İhaleye katılacak olanlar taşınmaz malların ihalesine ait teminat bedellerini ihale tarihleri ve saatlerinden öncesine kadar Büyükşehir Belediyesi veznesinden alacakları ödenti belgesi ile yatıracaklardır.
8. Malatya Büyükşehir Belediyesi Encümeni bahse konu taşınmazlara ait ihaleleri yapıp yapmamakta ve uygun teklifi tespit etmekte serbesttir.

İlan olunur.
T.C.
BÜNYAN BELEDİYE BAŞKANLIĞI TAŞINMAZ SATIŞI
Mülkiyeti Bünyan Belediyesine ait İlçemiz, Muhtelif Mahallelerindeki aşağıda bilgileri bulunan toplam 28 adet taşınmazın, 18.12.2024 tarih ve 163 sayılı encümen kararına istinaden 2886 DİK’ nun 45 Maddesi uyarınca Açık Teklif Usulü ile 08.01.2025 tarih ve saat 16:00’ da ihale tek tek satılacaktır.
1. İhale 08.01.2025 Çarşamba günü saat 16:00’da Bünyan Belediyesi Meclis Toplantı Salonunda Encümen huzurunda yapılacaktır.
2. İştirakçilerin ihaleye katılabilmeleri için 08.01.2025 Çarşamba günü saat: 12:30’a kadar aşağıdaki belgelerle Bünyan Belediyesi Mali Hizmetler Müdürlüğüne dosyalarını teslim edeceklerdir. Verilen bu süreden sonra getirilecek belgeler işleme konulmayacaktır.
A-Gerçek kişi ise ;
1)İkametgâh İl Muhaberi,2)Nüfus Cüzdanı Suret 3)Tebligat için adres beyanı
4. 2886 sayılı kanunda belirtilen ihale dışı bırakılma sebeplerinden herhangi birini taşımadığına dair taahhütname,
5) Geçici teminatın yatırdığına dair makbuz
6)Belediyemize vadesi geçmiş borcu bulunmadığına dair belge
7)İhale Şartname bedeli olan 200,00 TL yatırdığına dair makbuz B-Tüzel kişi ise;
1)Tebligat için Ticari İkametgah belgesi,
2)Vergi Levhası
3)Şirket ortaklarının isimlerini belirtir Ticaret Sicil Gazetesi veya Oda Kayıt Belgesi,
4)İhaleye iştirak edecek olanın imza beyanı ve yetki belgesi
5. 2886 sayılı kanunda belirtilen ihale dışı bırakılma sebeplerinden herhangi birini taşımadığına dair taahhütname,
5)Geçici teminatın yatırdığına dair makbuz
6) Belediyemize vadesi geçmiş borcu bulunmadığına dair belge7)İhale Şartname bedeli olan 200,00 TL yatırdığına dair makbuz
6. İhaleye katılacak olanların ihale saatinden önce satışa sunulan taşınmazların %3 tutarındaki geçici teminat bedellerini Bünyan Belediyesi Mali Hizmetler Müdürlüğüne Makbuz karşılığı yatırmak zorundadır.
7. İhale üzerinde kalan iştirakçi %6 kesin teminatı Bünyan Belediyesi Mali Hizmetler Müdürlüğüne makbuz karşılığı yatırmak zorundadır.
8. Gerçekleşen ihalenin hüküm ifa etmesi Bünyan Belediye Başkanı ve/veya yetkili kılınan kişi / kişilerce onaylanması şartına bağlıdır. İhale karar tarihinden 15 (on beş) iş günü içinde onaylanır veya iptal edilir. Bünyan Belediye Başkanı ve/veya yetkili kıldığı kişi/kişilerce karar iptal edilirse ihale hükümsüz sayılır.
9. Bünyan Belediye Başkanınca veya yetkililerce onaylanan ihale kararı onaylandığı günden itibaren en geç 5 iş günü içinde üzerine ihale yapılan veya vekiline imzası alınmak suretiyle bildirilir veya iadeli taahhütlü mektupla tebligat postalanır. Mektubun postaya verilmesini takip eden yedinci gün, kararının istekliye tebliğ tarihi sayılır.

Kıbrıs'a 91 konutluk yeni proje! Akanthou Village 2025'te satışa çıkıyor!
İstanbul'un deprem karnesi: Kendiliğinden yıkılacak binalar, riskli ilçeler ve barınma sorunu!
