Çubuk Belediyesi'nden 9.7 milyon TL'ye satılık 30 arsa!
Çubuk Belediyesi, 30 arsayı ihale ile satışa sunuyor. Arsaların ihalesi 23 Mayıs'ta gerçekleşecek..
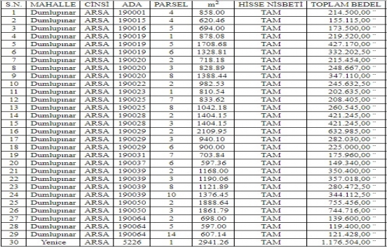
Çubuk Belediyesi'nden 30 arsa ihale ile satışa sunuluyor. Toplam muhammen bedeli 9 milyon 767 bin 366 TL olarak belirlenen arsaların ihalesi 23 Mayıs 2018 Çarşamba günü saat 14.30'da yapılacak.
ARSALAR SATILACAKTIR
Çubuk Belediyesinden:
Mülkiyeti Belediyemize ait Çubuk ilçesinde bulunan aşağıda ada ve parsel numaraları çıkarılmış olan gayrimenkuller 2886 sayılı Devlet İhale Kanununa göre Açık teklif usulü ile 23.05.2018 Çarşamba günü saat 14.30'da Çubuk Belediyesi Mehmet Akif Ersoy Eğitim ve Kültür Salonunda Belediye Encümeni tarafından ihale ile satılacaktır.
Muhammen bedelleri:

1 - Gayrimenkul bedelleri %25 peşin geriye kalan kısmı aylık 12 (On iki) eşit taksitte ödenecektir.
2 - İsteklilerin ihaleye katılımında tanzim edilecek İhale dosyasında aranacak belgeler şunlardır:
A. Gerçek Kişinin veya Tüzel Kişi yetkilisinin vukuatlı Aile nüfus kayıt örneği
B. Gerçek Kişinin veya Tüzel Kişi yetkilisinin Yerleşim (İkametgâh) belgesi
C. Geçici teminat yatırdığına dair makbuz,
D. İhale şartnamesini aldığını gösteren makbuz, şartname alındı ve dosya teslim tutanağı.
E. Gerçek kişi olması halinde Noter tasdikli İmza Beyannamesi
F. Vekâleten katılanlar için Noterden onaylı vekâletname,
G. Tüzel kişi olması halinde, ilgisine göre tüzel kişiliğin ortakları, üyeleri veya kurucuları ile tüzel kişiliğin yönetimindeki görevlileri belirten son durumu gösterir Ticaret Sicil Gazetesi veya bu hususları tevsik eden belge, ihaleye katılacaklar için yetki belgesi ve noterden tasdikli imza sirküleri.
İstekliler yukarıda yazılı belgeleri bir dosya halinde 23.05.2018 Çarşamba günü saat 14.00’e kadar İhale Komisyonu adına Emlak İstimlâk Müdürlüğüne teslim edeceklerdir.
3 - İhale ile ilgili bilgiler Belediyemiz Emlak İstimlâk Müdürlüğünden öğrenilebilir.
4 - İhale şartnamesi 50,00-TL. Karşılığında Emlak İstimlâk Müdürlüğünden temin edilebilir.
5 - İsteklilere ilanen duyurulur.