Edirne İpsala'da 3.7 milyon TL'ye satılık 39 gayrimenkul!
Edirne İli İpsala Belediyesi, 39 gayrimenkulü ihale ile satışa sunuyor. İhale 15 Mayıs'ta gerçekleşecek..
Edirne İli İpsala Belediye Başkanlığı tarafından Köprü Mahallesi'nde yer alan 39 gayrimenkul ihale ile satışa sunuluyor. Toplam muhammen bedeli 3 milyon 767 bin TL olarak belirlenen gayrimenkullerin ihalesi 15 Mayıs'ta yapılacak.
TAŞINMAZLAR SATILACAKTIR
Edirne İli İpsala Belediye Başkanlığından:
1 - İhale konusu olan işin niteliği, yeri ve miktarı:
Edirne İli, İpsala İlçesi Köprü Mahallesi 146 ada,104 parselde bulunan, mülkiyeti İpsala Belediyesine ait Kapalı Pazaryerindeki 39 (otuzdokuz) adet “Ofis İşyerlerinin”15/05/2018 tarihinde 2886 sayılı Devlet İhale Kanununun 45. maddesi uyarınca Açık Teklif Usulü ile satış ihalesi işidir.
2 - Şartname ve eklerinin nereden ve hangi şartlarla alınacağı:
Şartname ve ekleri, İpsala Belediyesinin Saraçilyas Mahallesi, Cumhuriyet Meydanı, No: 5 adresindeki Mali Hizmetler Müdürlüğünde Müdür V. Belgin GİRGİNOL’dan, 100.-TL bedel ödenmesi suretiyle satın alınabilir. Veya aynı adreste bedelsiz olarak görülebilir. Ancak, ihaleye teklif verecek olanların, ihale dokümanını satın alması zorunludur.
3 - İhalenin nerede, hangi tarih ve saatte ve hangi usulle yapılacağı:
İhale, İpsala Belediyesinin Saraçilyas Mahallesi, Cumhuriyet Meydanı, No: 2 adresindeki Belediye Düğün Salonunda 15/05/2018 tarih ve Saat: 15.00’da, 2886 sayılı Devlet İhale Kanununun 45. maddesi (açık teklif usulü) gereğince yapılacaktır.
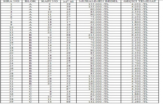
4 - Varsa tahmin edilen bedel ve geçici teminat miktarı:

5 - İsteklilerden aranılan belgelerin neler olduğu:
5.1. İsteklilerin ihaleye katılabilmeleri için aşağıda sayılan belgeleri sunmaları gerekir:
5.1.a) Mevzuatı gereği kayıtlı olduğu ticaret ve/veya sanayi odası veya ilgili meslek odası belgesi;
1) Gerçek kişi olması halinde, kayıtlı olduğu ticaret ve/veya sanayi odasından ya da esnaf ve sanatkârlar odasından, ilk ilan veya ihale tarihinin içinde bulunduğu yılda alınmış, odaya kayıtlı olduğunu gösterir belge,
2) Tüzel kişi olması halinde, ilgili mevzuatı gereği kayıtlı bulunduğu ticaret ve/veya sanayi odasından, ilk ilan veya ihale tarihinin içinde bulunduğu yılda alınmış, tüzel kişiliğin odaya kayıtlı olduğunu gösterir belge,
5.1.b) Teklif vermeye yetkili olduğunu gösteren noter tasdikli imza sirküleri:
1) Gerçek kişi olması halinde, nüfus cüzdanı fotokopisi ve noter tasdikli imza sirküleri,
2) Tüzel kişi olması halinde, ilgisine göre tüzel kişiliğin ortakları, üyeleri veya kurucuları ile tüzel kişiliğin yönetimindeki görevlileri belirten son durumu gösterir Ticaret Sicil Gazetesi, bu bilgilerin tamamının bir Ticaret Sicil Gazetesinde bulunmaması halinde, bu bilgilerin tümünü göstermek üzere ilgili Ticaret Sicil Gazeteleri veya bu hususları gösteren belgeler ile tüzel kişiliğin noter tasdikli imza sirküleri,
5.1.c) Geçici teminatın ödendiğine ilişkin belge veya teminat mektubu, geçici teminat nakit olarak İpsala Belediye Başkanlığı T.C. Ziraat Bankası İpsala Şubesi “TR98 0001 0004 1808 7477 4550 16” IBAN No’lu hesabına yatırılacaktır.
5.1.d) Vekaleten ihaleye katılma halinde, vekil adına düzenlenmiş ihaleye katılmaya ilişkin noter onaylı vekaletname ile vekilin noter tasdikli imza beyannamesi,
5.1.e) İsteklinin ortak girişim olması halinde, bu Şartname ekinde yer alan standart forma uygun noter onaylı iş ortaklığı beyannamesi,
5.1.f) İpsala Belediyesine borcu (Emlak, ÇTV, Kira, Su vb.) olmadığına dair İpsala Belediyesi Mali Hizmetler Müdürlüğünden, (ihaleye katılım dosyasının belediyemize sunulduğu tarihte) alınmış belge.
5.1.g) İhale dokümanının satın alındığını gösteren vezne makbuzu.
5.1.h) Türkiye’de Tebligat için adres göstermeleri.
6 - Yapancı istekliler ihaleye katılamayacaklardır.
7 - Açık teklif usulüyle yapılacak ihalelerde, İhale Katılım Dosyalarının hangi tarih ve saate kadar nereye verileceği:
İhale Katılım Dosyaları, 15/05/2018 tarihi, saat 14:00’a kadar Belediye Mali Hizmetler Müdürlüğü Müdür V. Belgin GİRGİNOL’a teslim edilecektir.