Edirne İpsala'da 5.1 milyon TL'ye satılık 66 işyeri!
Edirne İpsala Belediyesi, Saraçilyas Mahallesi 146 ada,104 parseldeki 66 ofisi satışa sunuyor. İhaleler 18 Temmuz'da gerçekleşecek..
Edirne İpsala Belediyesi tarafından Saraçilyas Mahallesi 146 ada,104 parselde bulunan 66 işyeri ihale usulü ile satılıyor. Toplam 5.1 milyon TL olarak belirlenen ofisler için ihale 18 Temmuz'da yapılacak.
OFİS İŞYERLERİ SATILACAKTIR
Edirne İli İpsala Belediye Başkanlığından:
1 - İhale konusu olan işin niteliği, yeri ve miktarı:
Edirne İli, İpsala İlçesi Saraçilyas Mahallesi 146 ada,104 parselde bulunan, mülkiyeti İpsala Belediyesine ait Kapalı Pazaryerindeki 66 (altmışaltı) adet “Ofis İşyerlerinin” 18/07/2017 tarihinde 2886 sayılı Devlet İhale Kanununun 45. maddesi uyarınca Açık Teklif Usulü ile satış ihalesi işidir.
2 - Şartname ve eklerinin nereden ve hangi şartlarla alınacağı:
Şartname ve ekleri, İpsala Belediyesinin Saraçilyas Mahallesi, Cumhuriyet Meydanı, No: 5 adresindeki Mali Hizmetler Müdürlüğünde Müdür V. Belgin GİRGİNOL’dan, 100.-TL bedel ödenmesi suretiyle satın alınabilir veya aynı adreste bedelsiz olarak görülebilir. Ancak, ihaleye teklif verecek olanların, ihale dokümanını satın alması zorunludur.
3 - İhalenin nerede, hangi tarih ve saatte ve hangi usulle yapılacağı:
İhale, İpsala Belediyesinin Saraçilyas Mahallesi, Cumhuriyet Meydanı, No: 2 adresindeki Belediye Düğün Salonunda 18/07/2017 tarih ve Saat: 10.00’da, 2886 sayılı Devlet İhale Kanununun 45. maddesi (açık teklif usulü) gereğince yapılacaktır.
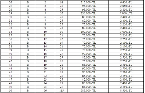
4 - Varsa tahmin edilen bedel ve geçici teminat miktarı:



5 - İsteklilerden aranılan belgelerin neler olduğu:
5.1. İsteklilerin ihaleye katılabilmeleri için aşağıda sayılan belgeleri sunmaları gerekir:
5.1.a) Mevzuatı gereği kayıtlı olduğu ticaret ve/veya sanayi odası veya ilgili meslek odası belgesi;
1) Gerçek kişi olması halinde, kayıtlı olduğu ticaret ve/veya sanayi odasından ya da esnaf ve sanatkârlar odasından, ilk ilan veya ihale tarihinin içinde bulunduğu yılda alınmış, odaya kayıtlı olduğunu gösterir belge,
2) Tüzel kişi olması halinde, ilgili mevzuatı gereği kayıtlı bulunduğu ticaret ve/veya sanayi odasından, ilk ilan veya ihale tarihinin içinde bulunduğu yılda alınmış, tüzel kişiliğin odaya kayıtlı olduğunu gösterir belge,
5.1.b) Teklif vermeye yetkili olduğunu gösteren noter tasdikli imza sirküleri:
1) Gerçek kişi olması halinde, nüfus cüzdanı fotokopisi ve noter tasdikli imza sirküleri,
2) Tüzel kişi olması halinde, ilgisine göre tüzel kişiliğin ortakları, üyeleri veya kurucuları ile tüzel kişiliğin yönetimindeki görevlileri belirten son durumu gösterir Ticaret Sicil Gazetesi, bu bilgilerin tamamının bir Ticaret Sicil Gazetesinde bulunmaması halinde, bu bilgilerin tümünü göstermek üzere ilgili Ticaret Sicil Gazeteleri veya bu hususları gösteren belgeler ile tüzel kişiliğin noter tasdikli imza sirküleri,
5.1.c) Geçici teminatın ödendiğine ilişkin belge veya teminat mektubu, geçici teminat nakit olarak İpsala Belediye Başkanlığı T.C. Ziraat Bankası İpsala Şubesi “TR***********808 7477455016” IBAN No’lu hesabına yatırılacaktır.
5.1.d) Vekaleten ihaleye katılma halinde, vekil adına düzenlenmiş ihaleye katılmaya ilişkin noter onaylı vekaletname ile vekilin noter tasdikli imza beyannamesi,
5.1.e) İsteklinin ortak girişim olması halinde, bu Şartname ekinde yer alan standart forma uygun noter onaylı iş ortaklığı beyannamesi,
5.1.f) İpsala Belediyesine borcu (Emlak, ÇTV, Kira, Su vb.) olmadığına dair İpsala Belediyesi Mali Hizmetler Müdürlüğünden, (ihaleye katılım dosyasının belediyemize sunulduğu tarihte) alınmış belge.
5.1.g) İhale dokümanının satın alındığını gösteren vezne makbuzu.
5.1.h) Türkiye’de Tebligat için adres göstermeleri.
6 - Yapancı istekliler ihaleye katılamayacaklardır.
7 - Açık teklif usulüyle yapılacak ihalelerde, İhale Katılım Dosyalarının hangi tarih ve saate kadar nereye verileceği:
İhale Katılım Dosyaları, ihale tarihinden bir gün önce 17/07/2017 tarihi, saat: 15.00’e kadar Belediye Mali Hizmetler Müdürlüğü Müdür V. Belgin GİRGİNOL’a teslim edilecektir.
İlan olunur.