Emlak Konut GYO Firuzköy parsellerinin değeri belli oldu!
Emlak Konut GYO'nun Firuzköy parselleri için KDV hariç 2 milyar 149 milyon 955 bin 500 TL, KDV dahil ise 2 milyar 536 milyon 947 bin 490 TL pazar değeri takdir edildi.
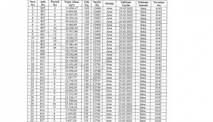
Emlak Konut GYO'nun Avcılar parselleri, İstanbul ili, Avcılar ilçesi, Firuzköy Mahallesi, 807/2, 807/3, 807/6, 807/7, 807/8, 807/9, 807/10, 807/12, 807/13, 807/14, 807/15, 807/16, 809/2, 809/3, 810/1, 811/7, 811/8, 811/9, 811/10, 811/12, 812/5, 813/2, 813/4, 813/5, 813/6, 813/8, 813/9, 813/10, 813/12, 814/3, 815/4, 816/3, 817/3 ve 807/28 numaralı ada parsellerde yer alıyor.
Avcılar Firuzköy'de yer alan 35 parsel, Küçükçekmece Gölü'nün batısında konumlanıyor. Parsellere ulaşın, 03/E80 Avrupa Otolu üzerinden sağlanıyor ve yakın çevrelerinde İstanbul Üniversitesi Veteriner Fakültesi Uygulama Çiftliği ve boş parseller yer alıyor.
Parsellerin tapu kayıt bilgileri şu şekilde:

Emlak Konut GYO'nun Firuzköy parselleri için KDV hariç 2 milyar 149 milyon 955 bin 500 TL, KDV dahil ise 2 milyar 536 milyon 947 bin 490 TL pazar değeri takdir edildi.
Emlak Konut GYO'nun KAP açıklaması:
"İstanbul İli, Avcılar İlçesi 35 adet parsel için hazırlatılan "Gayrimenkul Değerleme Raporu" ekte yer almaktadır.
Değerleme raporu için tıklayın