İki şehirde 29 gayrimenkul satılacak! Yatırımcılar bu tarihlere dikkat!
Afyonkarahisar ve Hatay'da yer alan 29 adet gayrimenkul satışa çıkarıldı. Söz konusu gayrimenkullerin satış ihaleleri 26 Mart ve 29 Mart'ta yapılacak.
Afyonkarahisar ve Hatay'da yer alan 29 adet gayrimenkul için satış ihalesi düzenleniyor. Yatırımcıların merakla beklediği satış ihalesi 26 Mart ve 29 Mart'ta yapılacak.
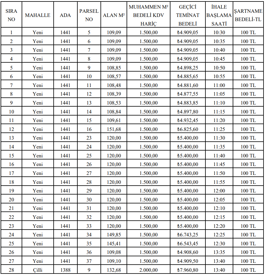
Afyonkarahisar Emirdağ'da yer alan gayrimenkullerin muhammen metrekare bedelleri 1.500 TL ve 2 bin TL olarak açıklanırken, geçici teminat bedelleri ise 4 bin 881 TL ile 7 bin 960 TL arasında değişiyor.
Hatay Payas'ta yer alan gayrimenkulün muhammen bedeli 45 milyon 417 bin 750 TL olarak açıklanırken, geçici teminat bedeli ide 1 milyon 370 bin TL olarak açıklandı.
Afyonkarahisar İli Emirdağ Belediye Başkanlığından:
Mülkiyeti Belediyemize ait İlçemiz Yeni Mahallesinde bulunan aşağıda listelenen 27 adet
ve Çilli Mahallesinde bulunan 1 adet arsanın 2886 sayılı DİK. nun 45.maddesi gereğince açık
teklif (açık artırma)sözleşme tarihinden itibaren satışı yapılacak olup, arsaların m² muhammen
bedelleri ve geçici teminat bedelleri aşağıya çıkarılmıştır.

Satış İhaleleri Emirdağ Belediye Hizmet Binası Meclis Toplantı salonunda 29.03.2024
tarihinde saat 10:30’da başlayacak olup, Belediye Encümeni huzurunda yapılacaktır. İhale ilgili
şartname her gün mesai saatleri içerisinde Belediye Hizmet Binası Yazı İşleri Müdürlüğünde
görülebilir.
İsteklilerin yeterlilik belgesi alabilmesi ve ihaleye katılabilmeleri için son başvuru tarihi
olan 29/03/2024 tarihi saat 10:30’a kadar aşağıdaki belgeler ile Belediye Hizmet Binası Yazı
İşleri Müdürlüğüne başvurmaları gerekmektedir.
BAŞVURU ŞARTLARI
1-) Türkiye Cumhuriyeti vatandaşı olmak.
2-) Satışı yapılacak sanayi ve/veya ticari arsanın bulunduğu ilçe nüfusuna kayıtlı olmak
veya o ilçe sınırlarında faaliyette bulunuyor olmak.
3-) Başvuru tarihi itibari ile 18 yaşını doldurmuş olmak.
4-) Ustalık / Kalfalık Belgesi, İşyeri Açma Belgesi, Vergi Levhası, Kayıtlı olduğu odadan
mesleki faaliyetini gösteren Kayıt Belgesi ve Ticaret yapıldığına dair bilgileri gösterir belgelerden
birine sahip olmak.
5-) Belediyemizin satmış olduğu sanayi ve/veya ticari arsalardan satın almamış olmak.
6-) Kendisinin, eşinin ve 18 yaşından küçük çocuklarının mülkiyetinde işyeri olmaması.
7-) Emirdağ Belediye Başkanlığı tarafından (satışı yapılan arsaya 5 yıl içinde sanayi
ve/veya ticari dükkân yapılması, Yapı Kullanma Ruhsatının alınması ve arsanın 10 yıl
satılmaması için) tapuya şerh konulacaktır.
İSTEKLİLERDEN İSTENECEK BELGELER (GERCEK KİŞİ)
1-) T.C. Kimlik Belgesi ve Dilekçe.
(Satışa çıkan gayrimenkulün yerini bildiğine ve gördüğüne dair)
2-) Kanunu İkametgâh Belgesi.(İlgili Nüfus Müdürlüğünden)
3-) Geçici İhale Teminatı.(Teminat mektubu verilmesi halinde limit içi ve süresiz olacak)
4-) İhaleye katılacak ilgililerin Belediyemize borcu bulunmayacak olup borcu olmadığını
ibraz edecektir.(Mali Hizmetler Müdürlüğünden temin edilecektir)
5-) İhale şartnamesi alındı belgesi.(Mali Hizmetler Müdürlüğünden temin edilecektir)
6-) Ayrıca istekliler adına vekâleten ihaleye iştirak etmesi halinde teklif de bulunacak
kimsenin vekâletnamesi ile vekâleten iştirak edenin noterden onaylı imza sirküsü
7-) Teklif dosyasına idareden satın alınan idari şartnamenin isteklilerce imzalanmış hali
sunulacaktır.
8-) İhaleye konu arsa sanayi ve ticari parsel niteliğinde olduğundan; İsteklinin Ustalık /
Kalfalık Belgesi, İşyeri Açma Belgesi, Vergi Levhası, Kayıtlı olduğu odadan mesleki faaliyetini
gösteren Kayıt Belgesi ve Ticaret yapıldığına dair bilgileri gösterir belgelerden birinin ibrazı
zorunludur.
İSTEKLİLERDEN İSTENECEK BELGELER(TÜZEL KİŞİ)
1-) T.C. Kimlik Belgesi ve Dilekçe.
(Satışa çıkan gayrimenkulün yerini bildiğine ve gördüğüne dair)
2-) Ticaret ve Sanayi Odası belgesi/ Meslek Odası kayıtlı olduğuna dair ihale yılı
içerisinde alınmış belge.
3-) Ticaret Sicil Belgesi.(Tüzel Kişilik kuruluşu, şirket ortaklarının son durumunu ve
Temsil/ilzamın son durumunu gösterir gazeteler)
4-) Şirketi temsil etme yetkisi ve yetkilinin noterden imza sirküsü.
5-) İstekliler adına vekâleten ihaleye iştirak edilmesi halinde; teklif de bulunacak
Vekâletnamesi ile vekâleten iştirak edenin noterden onaylı imza sirküsü.
6-) Geçici Teminat.(Teminat mektubu verilmesi halinde limit içi ve süresiz)
7-) Borcu Yoktur Belgesi.(İhaleye katılacak ilgililerin Belediyeye borcu bulunmayacak
olup, bu durum Mali Hizmetler Müdürlüğünden alınacak belge ile tevsik edilecektir)
8-) İhale Şartnamesi Alındı Belgesi.(Mali Hizmetler Müdürlüğünden temin edecektir)
9-) Teklif Dosyasına idareden satın alınan idari şartnamenin isteklilerce imzalanmış hali
sunulacaktır.
10-) İhaleye konu arsa sanayi ve ticari parsel niteliğinde olduğundan; İsteklinin Ustalık /
Kalfalık Belgesi, İşyeri Açma Belgesi, Vergi Levhası, Kayıtlı olduğu odadan mesleki faaliyetini
gösteren Kayıt Belgesi ve Ticaret yapıldığına dair bilgileri gösterir belgelerden birinin ibrazı
zorunludur (Tüzel kişide en az bir ortakta olacaktır)
- İdare ihaleyi yapıp yapmamakta serbesttir.
- Posta ile yapılan müracaatlar kabul edilmez.
İLAN OLUNUR.

GAYRİMENKUL SATILACAKTIR
Hatay İli Payas Belediye Başkanlığından:
Mülkiyeti Payas Belediyesine ait aşağıda bulunan gayrimenkul, 2886 sayılı Devlet İhale
Kanununun 35/a maddesine göre Kapalı Teklif usulü ile satılacaktır.

1) Payas Belediyesi İhale Komisyonu Toplantı Salonunda gayrimenkulün satışı
yapılacaktır. Bu gayrimenkule müracaat etme süresi ihale saatine kadardır.
2) İhale ile ilgili şartlar hakkında ayrıntılı bilgiyi Payas Belediyesi İhale Komisyonu
Şefliği ile görüşülüp alınabilir.
3) İhaleye gireceklerin ihale saatine kadar geçici teminat bedelini Payas Belediyesine
nakit yatırmaları veya 2886 sayılı Kanun gereği teminat yerine geçen belgeler ile aşağıda
belirtilen belgeleri Payas Belediyesine ibraz etmeleri gerekmektedir.
• Tebligat için, Muhtarlıktan veya Nüfus ve Vatandaşlık Müdürlüklerinden tasdikli
ikametgah belgesi ve Nüfus Cüzdan Sureti (Vatandaşlık Numaralı),
• Tüzel kişi olması halinde, mevzuatı gereği tüzel kişiliğin siciline kayıtlı bulunduğu
Ticaret ve/veya Sanayi Odasından, ilk ilan veya ihale tarihinin içerisinde bulunduğu yılda alınmış,
tüzel kişiliğin sicile kayıtlı olduğuna dair belge,
• Gerçek kişi olması halinde, noter tasdikli imza sirküleri, Tüzel kişi olması halinde,
ilgisine göre tüzel kişiliğin ortakları, üyeleri veya kurucuları ile tüzel kişiliğin yönetimindeki
görevlileri belirten son durumu gösterir Ticaret Sicil Gazetesi veya bu hususları tevsik eden
belgeler ile tüzel kişiliğin noter tasdikli imza sirküleri,
• Şekli ve içeriği şartnamede belirlenen teklif mektubu,
• Şekli, içeriği ve miktarı şartnamede belirlenen miktarda geçici teminat,
• Vekâleten iştirak edeceklerin vekâletname ve imza sirkülerinin aslı veya noter tasdikli
sureti,
• İhale şartnamesini 15.000,00.-TL. karşılığında aldıklarına dair makbuz,
• Vergi Dairesine borcu yoktur yazısı,
• Payas Belediyesine borcu olmadığına dair güncel belge,
• Taşınmaz Mal satış şartnamesi ( şartnamenin her sayfası ayrı yarı ihaleye iştirak eden
tarafından imzalamak zorundadır.)
4) İhale Komisyonu gayrimenkulleri satıp satmamak veya ihaleyi iptal etmek yetkisine
sahiptir.
İlanen duyurulur.
Doların yönü belli oldu! Dolar net bu kadar olacak! Doları bilen adam Selçuk Geçer tarih verdi!
Konut fiyatları 6 ay daha enflasyonun gerisinde kalacak!
BİM 22 Mart 2024 aktüel ürünler kataloğunu yayımladı! BİM'de bu cuma birçok üründe indirim var!