Kahramanmaraş Türkoğlu Belediyesi'nden satılık 75 dükkan!
Türkoğlu Belediye Başkanlığı, Kahramanmaraş İli Gaziler Mahallesi'nde yer alan 75 dükkanı satışı satışa çıkardı. Söz konusu gayrimenkuller açık artırma usulüyle ihale edilecek.
Türkoğlu Belediye Başkanlığından:
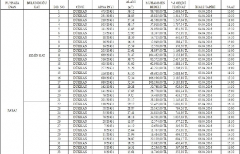
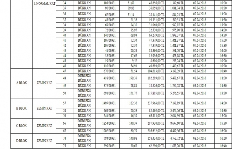
1 - Mülkiyeti Belediyemize ait; İlçemiz Gaziler Mahallemizde bulunan 735 ada 3 parsel üzerinde bulunan Dükkanlar (İşyerleri) 2886 sayılı Devlet İhale Kanunun 45. maddesine göre Açık Artırma İhale Usulüne göre ihale edilerek satılacaktır.
2 - İhale Türkoğlu Belediye Başkanlığı Gaziler Mahallesi İstiklal Caddesi No: 2/1 46800 Türkoğlu/Kahramanmaraş adresinde bulunan Belediye Hizmet Binası Belediye Encümen Salonunda aşağıda hizalarında yazılı tarihlerde ve saatlerde yapılacaktır.


3 - Satışı yapılacak ihale konusu; dükkanların (işyerleri) ihale bedellerine % 18 KDV uygulanacaktır. İhale ile ilgili vergi, resim ve harçları alıcısı tarafından karşılanacaktır.
4 - Satış İhalesine katılacak olanlar için;
A - Gerçek kişi olması halinde;
a) Tebligat için adres beyanı,
b) Noter tasdikli imza beyannamesi,
c) Şartnamenin satın alındığına dair makbuz,
d) Geçici teminatın yatırıldığına ilişkin belge.
B - Tüzel kişi olması halinde;
a) Tebligat için adres beyanı,
b) Mevzuatı gereği tüzel kişiliğin siciline kayıtlı bulunduğu Ticaret ve Sanayi Odasından son başvuru tarihinin içerisinde bulunduğu yılda alınmış, tüzel kişiliğin sicile kayıtlı olduğuna dair belge,
c) Tüzel kişiliğin noter tasdikli imza sirküleri,
d) Şartnamenin satın alındığına dair makbuz,
e) Geçici teminatın yatırıldığına ilişkin belge.
C - Vekaleten ihaleye katılma halinde, istekli adına katılan kişinin ihaleye katılmaya ilişkin noterden onaylı vekaletnamesi ile vekaleten katılanın noter tasdikli imza beyannamesi.
Posta ile gönderilecek tekliflerin ilanda belirtilen saate kadar komisyon Başkanlığına ulaşması gerekmektedir. Postada meydana gelebilecek gecikmeler dikkate alınmaz. Saat ayarında TRT saat ayarı esastır. İhaleye yeterli talipli bulunmadığı durumda, taliplilerin tekliflerinin uygun görülmediği durumlarda Belediye Encümeni ihaleyi yapıp yapmamakta serbesttir.
İhale şartnamesi ve ekleri istek halinde Türkoğlu Belediyesi Fen İşleri Müdürlüğünden 50-TL karşılığında temin edilebilir veya ücretsiz olarak görülebilir. İhaleye iştirak edeceklerin ihale dokümanını(şartnamesini) satın alması şarttır.
Taliplilere ilanen duyurulur.